- Article
- Open access
- Published: 09 October 2025
Scientific Reports volume 15, Article number: 32613 (2025) Cite this article
-
3912 Accesses
-
479 Altmetric
Abstract
Behavioural addictions, characterised by compulsive engagement in rewarding activities despite adverse consequences in the long term, are more heterogeneous and less well-understood than substance addictions, and there is a relative lack of translational research. This study investigates “excessive toy motivation” in domestic dogs as a potential parallel to behavioural addictions in humans. Employing a combination of a behavioural test and an owner questionnaire, we examined whether a subset of highly play-motived dogs meet key behavioural addiction criteria, including craving, salience, lack of self-control, and mood modification. Data from 105 highly play-motivated dogs revealed that 33 subjects exhibited behaviours consistent with addictive-like tendencies, including an excessive fixation on toys, reduced responsiveness to alternative stimuli, and persistent efforts to access toys. Owner-reported behaviours not only corroborated these findings but also demonstrated significant associations with behavioural test scores. Our results highlight parallels between excessive toy motivation in dogs and human behavioural addictions, with dogs as the only non-human species so far that appears to develop addictive-like behaviours spontaneously without artificial induction. This exploratory study provides foundational insights and proposes future research directions that have the potential to significantly deepen our understanding of the psychological mechanisms underlying behavioural addictions across species.
Similar content being viewed by others
Introduction
What is play? Why do many large-brained mammals engage in play throughout their lives? And what makes playing potentially addictive? Despite numerous publications on play and its possible functions, play has remained somewhat of a mystery1, being associated with no immediate adaptive function, although it has been suggested to allow animals to practice species-typical behaviours such as hunting, mating, or fighting with a competitor in a non-serious context1. Notwithstanding, play behaviour is ubiquitous among (at least young) mammals and some birds2,3, and in large-brained species in particular – from humans to dogs – it persists throughout life4,5. Still, no unified definition of play exists to date6, although there is some agreement that, at a proximate level, play makes us feel good7. Even in non-human animals, observers will often agree that playful activities look like fun7, with neurotransmitter systems mediating the rewarding aspects of play (opioids, cannabinoids and dopamine)8,9 appearing to be highly conserved across mammalian taxa10.
Bateson (2014) proposed a set of characteristics that are generally accepted to define play: it is spontaneous, intrinsically rewarding and “fun”; it is separate from serious consequences; it often involves novel or exaggerated actions and role reversal; it is repetitive, but distinct from stereotypies; and it usually occurs only in healthy, stress-free animals, making it a marker of well-being7. However, regarding the latter point, it has been highlighted that play can also represent an attempt to cope with suboptimal conditions (e.g. in nonhuman animals, play may occur as displacement behaviour in stressful situations5 or may serve to reduce social tensions)11. Also, in humans, playing computer games or gambling represents a way of coping with stress. Moreover, in some instances, what started as a fun activity can become compulsive and develop into a behavioural addiction12,13,14.
A behavioural addiction can be defined as “repeated failure to resist an impulse, drive, or urge to perform an act that is rewarding to the person (at least in the short-term), despite longer-term harm to the individual or others” (ICD-11 (International Classification of Diseases 11th Revision))15. Unlike in compulsive disorders, where performance of the compulsive behaviour primarily serves to provide some relief from a negative affective state, i.e. via negative reinforcement, addictive behaviours originate because their performance generates positive affect, i.e. via positive reinforcement. However, as the addiction develops, the behaviour becomes compulsive and may even cease to be rewarding (reviewed by Freimuth et al.16. Behavioural addictions share underlying neurobiological processes17 and behavioural symptoms (such as craving, lack of self-control, tolerance, withdrawal and risk of relapse) with substance addictions17,18. Still, they are more heterogeneous and less well-understood19.
While a wide range of behaviours have the potential to become addictive in people (e.g. exercise, sex, shopping, work, etc.)19,20,21,22,23,24,25, to date, only the two disorders related to playing – gambling and internet gaming – are officially recognised as behavioural addictions in the two psychiatric manuals of psychological disorders (DSM-5 and ICD-11). The ICD-1115 included both gambling and internet gaming as behavioural addictions. In the 5th edition of DSM-526, gambling, previously classified as an impulse control disorder, was included under “substance-related and addictive disorders”19,26, while internet gaming was listed separately as “internet gaming disorder”26.
What would make behaviours related to playing so addictive? Play involves neurotransmitter systems (opioids, cannabinoids, and dopamine) that are also engaged in the rewarding aspects of food and drug rewards8,9. Thus, video games can provide players a hedonic experience and a high degree of relaxation27. Pathological gaming is an example of how seemingly normal and enjoyable behaviours can develop to disrupt regular social and environmental functioning28,29,30.
Compared to substance addiction, there are only a few animal models of behavioural addictions. Moreover, these are restricted to controlled laboratory settings, and addictive-like behaviour has to be actively induced31. Rodent models have been used to investigate compulsive eating (e.g. reviewed in31, exercise addiction (wheel running32,33), gambling34, and responses to sexual reward35. Mice selectively bred for excessive wheel-running, sometimes referred to as an addiction-prone phenotype, develop physiological withdrawal symptoms similar to those found in drug addiction after abstinence36. As with excessive exercise in humans, wheel-running in rodents may become disruptive to everyday activities, leading to impaired nest-building and sheltering behaviour37,38. The animals may continue to wheel-run despite disrupted sleep39 or even in the face of injury40, thus fulfilling the behavioural addiction criterion “persistence of the behaviour despite adverse consequences”41. This suggests that behavioural addictions are not unique to the human species.
There is, however, only one species that appears to display addictive-like behaviour spontaneously, without intentional experimental induction: the domestic dog (although inadvertent promotion of addictive-like behaviour by the caretakers cannot be ruled out). A small subset of dogs – colloquially referred to as “ball junkies” – appear to demonstrate an addictive-like desire for object play42.
Like humans, domestic dogs frequently remain playful throughout their lives1, engaging in both social and object-related play, as well as combinations (e.g. tug-of-war9. Solitary object play appears to be related to predatory behaviour9; accordingly the development of social and object play may reflect different selective histories of dog breeds, which were selected for various purposes such as hunting, guarding, herding, and other functions6,7,8.
Toy play is a potent reinforcer, especially in working dog training43,44,45. For instance, detection dogs working in public settings are typically not rewarded with food due to concerns about undesirable food-seeking behaviours in the field. Still, they will work persistently for their toy rewards. It has been argued that artificial selection has exaggerated play behaviour in adult dogs, especially in working breeds or working lines, where high toy motivation is often actively selected as a predictor of performance46. For example, in Labrador retrievers, working lines demonstrate higher playfulness than show lines, indicating a genetic basis for play motivation and potential for artificial selection47.
Playing with toys allows dogs to express instinctive predatory sequences such as chasing, catching, possessing and “dissecting”, considered to be intrinsically rewarding to them based on their species and breed histories48. None of this is pathological, nor is gambling or computer gaming in people. However, such highly rewarding activities have the potential to become obsessive in humans49,50, and the same may be true for dogs.
While addictive-like behaviour towards toys in dogs has not been studied to date, the phenomenon has been described in the lay literature (where affected dogs may be referred to as ‘ball junkies’), and it has been (rarely) alluded to in the scientific literature. Lazarowski et al.48 describe how some dogs show behavioural and physiological signs of high arousal in relation to toys, lack of self-control, and behaviours such as whining, barking, spinning, and other behavioural signs of stress when access to a toy is prevented (e.g. because the dog is restrained), suggested as an expression of their inability to manage the frustration of anticipation46. All these signs could be interpreted as indicative of craving (and frustration when the urge cannot be fulfilled).
In humans, addictive behaviours are often associated with deficits in inhibitory control and heightened cue-reactivity and craving, which are likely key mechanisms in addiction, particularly when exposed to behaviour-specific cues51,52,53.
In animal models of addictions, not only is an increased motivation to work for the rewarding substance notable, but the animals also continue seeking the reward even when it is signalled to be unavailable54. Similarly, excessively toy-motivated dogs may continue to try to gain access to a toy even when the caretaker has put it away (anecdotal evidence55. Dogs that appear obsessed with toys cannot be easily distracted from their fixation on the preferred object – demonstrating the high salience of the toy. Such dogs may even lose interest in other stimuli or social interactions as long as they have access to the toy, or sometimes even when it has been removed from reach55 – i.e., everyday functioning may be affected. Moreover, some dogs may continue playing (e.g., running tirelessly after balls thrown for them) despite adverse consequences, such as over-exertion or even injury in the short term and damage to joints and ligaments in the longer term56.
Thus, we suggest that ‘excessive toy motivation’ in dogs may show parallels to behavioural addictions in humans. Domestic dogs share many complex behavioural traits with us57,and they are commonly used as model species to explore compulsive behaviours58,59; cognitive ageing60,61,62, ADHD63,64,65, neuroticism66 and autism67,68,69.
Rationale
Here, we aim to provide the first scientific evaluation of ‘excessive toy motivation’ in dogs, develop methods to assess this phenomenon, and investigate whether ‘excessive toy motivation’ in pet dogs meets the defining criteria of behavioural addictions. Due to the heterogeneity of behavioural addictions, the number and description of diagnostic criteria are inconsistent in the scientific literature, even in humans19. We decided to explore whether the most common behavioural addiction criteria can be adapted to dogs: (1) craving, (2) salience, (3) mood modification through carrying out the behaviour, (4) lack of self-control, (5) tolerance, (6) withdrawal symptoms, (7) external consequences (the addictive behaviour causes conflict with other activities, other individuals, or within the individual), and (8) relapse after abstinence from the activity (cf28,41,70,71. Two additional criteria are used for diagnosing behavioural addictions in humans: having problems at home or work and lying to/deceiving people close to them26,72. Since these criteria cannot be applied to animals, we focused only on the eight abovementioned criteria.
We developed a behavioural test exposing pet dogs to various situations where behavioural addiction criteria in relation to toys can be expressed. Only the first four of the criteria mentioned above can be measured in a single behavioural assessment. The remaining criteria were included in an accompanying questionnaire, in which the dogs’ owners were asked about their dogs’ everyday behaviour.
While this study is exploratory, given the lack of prior research in this area, we used convergent methodologies in an attempt to assess internal and external validity. We predicted that dogs classified as having a high tendency for addictive-like behaviour based on our continuous Addictive-like Behaviour Test score, would:
-
Show higher scores for the individual behavioural addiction criteria: Salience, Craving, Mood modification, and Lack of self-control in the behaviour test,
-
Show higher durations of focusing on and trying to access an unavailable toy in the behaviour test,
-
Receive higher scores on the owner questionnaire designed to measure dogs’ addictive-like behaviour in everyday life,
than dogs classified as having a low tendency for addictive-like behaviour.
Methods
Play motivation test
Ethical consideration
The study was assessed and approved by the Veterinary Office of the Canton of Bern, Switzerland (Licence number BE115/17). All procedures were performed in accordance with the “Guidelines for the Treatment of Animals in Behavioral Research and Teaching” of the Association for the Study of Animal Behavior. All dog owners provided written informed consent for their participation.
Subjects
One hundred twenty-six dog-owner teams were recruited via advertisements on social media. In the first call, any play-motivated dog was welcome to participate. In a second call, we specifically sought dogs showing ‘excessive’ motivation for toy play.
Twenty-one of the 126 tested dogs were excluded from the analysis as they were (1) outside the target age range (< 1 year or > 10 years old; N = 9), (2) did not complete the test due to fatigue (N = 1), (3) did not play at all or were too fearful for pulse measurements (N = 7), or (4) due to disturbances during the test (e.g. owners bringing young children along, N = 4). The final sample (N = 105) included 56 males (34 neutered or chemically castrated, 20 intact and 2 cryptorchids) and 49 females (34 neutered and 15 intact), ranging in age from 12 months to 10 years (mean age = 5.09 years, SD = 2.6). The dogs belonged to various breeds (for demographics, see Supplementary Table 1). Eighty-two owners (72 women and 10 men) participated in the study.
Experimental set-up
Behaviour tests took place in an experimental room (Fig. 1), measuring 5.22 m x 3.36 m. A wooden partition wall divided the room into two parts so that the effective testing space was 3.60 m x 3.36 m. The room was furnished with two chairs and several shelves on the walls. One of the chairs was placed in front of the wooden partition wall (facing the entrance door), and the other was placed at a 90° angle against the wall to the left. In front of both chairs, a taped line marked a one-meter distance from the chairs. During the habituation phase, the opaque box in which a toy or food was enclosed during several subtests (hereafter, unsolvable task box) was placed next to the experimenter’s chair.
Four video cameras (IB8377-H; 4 MP, 30 fps, H.264, WDR Pro, IR, PoE, IP66, 2.8–12 mm) were placed in the room, and recordings were made using the recorder system (ND9441P NVR, 16-CH, 4HDD, H.265, HDMI/VGA, 16x PoE).
Methods
The test battery consisted of 14 subtests assessing various aspects of toy motivation in dogs. Play behaviour per se cannot be used to infer addictive-like behaviour, which is characterised primarily by reactions when the reward is unavailable; therefore, only subtests relevant to exploring behavioural addiction criteria are described in detail hereafter. The complete description of the play motivation test is available under: https://figshare.com/s/dfd6d12d922f7543b96c.
Procedure
Room habituation
After the owner and the dog had entered the test room, the dog was unleashed, and a 3-minute habituation phase commenced (Fig. 1). Meanwhile, the owner and the experimenter were seated on their allocated chairs, and the experimenter explained the test procedure. The owner signed the consent form. The owners were instructed to interact with the dog only when asked to perform one of the subtests and not to use food during testing unless absolutely necessary (such as exchanging food for a toy if the dog was unwilling to relinquish it).
Choosing the toy
After the habituation phase, the experimenter retrieved a box containing various commercial dog toys of different sizes and textures, with and without squeakers, etc., from the adjacent storage room. Only toys that might be associated with food enrichment were excluded. The owner was asked to select three toys (one ball, one tug toy and one plush toy) which they thought the dog would like the most. If the owner had brought the dog’s favourite toy from home, this toy was used in the subsequent preference test along with two other toys.
After removing the toy box from the room, the experimenter returned to the test room. The owner recalled the dog and sat down on their chair, holding the dog behind the Line marking the 1 m distance from the chair. Opposite the dog at the front of the room, the experimenter placed the three toys on the floor in a row, 40 cm apart. After the experimenter had returned to her chair, the owner released the dog, who could now explore and play with the toys for 30 s. The two people present did not interact with the dog during this time. The toy the dog spent the most time interacting with was used for subsequent testing. Forty-five dogs selected a ball, nine selected a tug toy, 39 selected a plush toy, and 12 selected a hybrid toy (plush ball: N = 3; tug with a ball: N = 6; plush tug: N = 3). On rare occasions, the dog did not show interest in any of the toys. In this case, the owner was asked to choose the type of toy the dog was usually most interested in at home. The chosen toy was used throughout the experiment, and the remaining two toys were placed on the shelf out of reach and sight of the dog. If the preferred toy was not a tug toy, the tug toy was used in subtests where the owner or experimenter played tug-of-war with the dog.
Description of the subtests and their relevance for addiction criteria coding
A description of the subtests and, when applicable, their relevance for addiction criteria coding is given in Table 1.
Behavioural coding
Videos were coded using Solomon Coder (Solomon Coder beta 19.08.02, Copyright 2006–2019 by Andràs Péter).
For most subtests, the starting point for coding was when the experimenter and the owner were sitting on their chairs, and the dog was behind the Line, which marked a 1 m distance from the owner’s chair (Fig. 1).
Qualitative and quantitative coding was performed by coders who were not involved in the experiments.
Three different coding approaches were employed:
-
a.
Scoring of individual variables that may be indicative of addictive behaviour each minute, which were later summed up as Addictive-like Behaviour Test score (Table 2); coder: KS.
-
b.
Coding of presence/absence of the four addiction criteria in each minute of each subtest; coder: KS.
-
c.
Quantitative coding.
-
Scoring and point sampling of behaviours during the subtests “Social play” and “Dog alone” (Table 4); coder: FL.
-
Coding of absolute durations of behaviours in subtests where the toy was rendered inaccessible (unsolvable task box and toy on a shelf, see Table 4); coders: DZ and AH.
A second coder (AM) performed reliability coding of addictive-like behaviours and behavioural addiction criteria and point sampling for 15 dogs. Reliability between the two coders who coded the durations was also analysed for 15 dogs. Reliability was good or excellent for all included variables (ICC, absolute agreement, single measures, two-way mixed-effects model, computed in IBM SPSS Statistics Version 23 (IBM Corporation and its Licensors 1989, 2015) (see Supplementary Table 3 for full results).
Sub-criteria to generate an Addictive-like behaviour test score (AB-T score)
To quantify dogs’ propensity for addictive-like behaviour as objectively as possible, we introduced the Addictive-like Behaviour Test score (AB-T score). Applicable sub-criteria were rated for each minute of the test, and for analysis, each sub-criterion was assigned a score between 0 and 2 points, as detailed in Table 2. The points from all the subtests, including the cool-down period, were added to yield the AB-T score. The maximum possible value of the AB-T score was 120 points. A cut-off point for addictive-like behaviour was defined by a data range split divided into two halves. Dogs scoring equal to or above the mid-point (44.2 points) are referred to as dogs showing a high tendency for addictive-like behaviour or high-AB dogs.
Dogs scoring less than 44.2 points are referred to as low-AB dogs (dogs with a low tendency for addictive-like behaviour). The sub-criteria included in the Addictive-like Behaviour Test score (as detailed in Table 2) were selected as they were assumed to be relatively independent of the level of obedience and training. Dogs might have been trained to drop a toy on a cue and to exert impulse control and refrain from jumping towards the toy in the experimenter’s hand; therefore, these variables were not included in the AB-T score. However, behaviours such as staring at the toy or pacing are believed to be less subject to training and were included.
Presence/absence of behavioural addiction criteria
Separately from the AB-T variables, in each subtest, the addiction criteria Salience, Craving, Mood modification, and Lack of self-control were rated each minute as present or absent based on the occurrence of pre-defined behaviours. For instance, Salience was inferred from searching for a toy although there was an »attractive alternative« (food, owner inviting the dog to play). Craving was based on the dog focusing mainly on the toy (> 50%) and medium to high arousal directed at the inaccessible toy (inferred from behaviours such as panting, restlessness, and high muscle tension). We further coded behaviours that are usually characteristic of high arousal in some dogs, e.g., pacing, jumping towards the toy, and vocalising (see Table 3). If at least one of the pre-defined behaviours was expressed, the respective addiction criterion was coded as present. Tolerance, Withdrawal symptoms and Risk of relapse after abstinence could not be tested in the setting of the play motivation test since they develop over time.
For each subtest, a summary score for each of the four addiction criteria was computed by summing up the points for each minute of the subtest.
Quantitative coding
Selected behaviours during the subtests “Social play” and “Dog alone” were coded by point sampling at 3-second intervals and then extrapolated to proportions of time (Table 4). Based on a subsample of dogs coded using both point sampling and absolute durations of behaviour, we determined sufficient agreement between the two measurement methods, justifying the use of point sampling. During subtests where a reward was inaccessible in the unsolvable task box, the absolute duration of interacting with the box (with low or high effort) was coded (Table 4). For detailed definitions of quantitatively coded variables, see Supplementary Table 2.
Questionnaire on addictive-like behaviours
A questionnaire was developed (available in English and German) (for inter- and intra-rater reliability based on over 1500 dogs recruited via an online survey; see Supplementary Table 6). The questions relating to behavioural addiction criteria relevant to the present manuscript are shown in Table 5. They were rated on a 5-point Likert scale indicating the extent of agreement with the statement (1 – strongly disagree; 2 – partly disagree; 3 – neither agree nor disagree; 4 – partly agree; 5 – strongly agree). The dog owners were asked to complete this questionnaire during the cool-down period of the behavioural test.
Analysis
SPSS Statistics Version 23 (IBM Corporation and its Licensors 1989, 2015) was used to compute a Categorical Principal Component Analysis and Mann-Whitney U tests. R version 4.1.0 (The R Foundation for Statistical Computing, 2021) was used to create boxplots and to calculate linear models.
Assessment of differences in summary scores of individual behavioural addiction criteria between high-AB dogs and low-AB dogs
We calculated summary scores for the four addiction criteria for each subtest by summing up the points for each minute. Using Mann-Whitney U tests, we tested whether there was a difference in the addiction criteria Craving, Lack of self-control, Mood modification and Salience between dogs classified as high-AB dogs (AB-T score ≥ 44.2 points) and low-AB dogs (AB-T score < 44.2 points). Note that although components of Salience and craving were used to calculate the AB-T score, these are not identical to the 1 − 0 variables of Salience and craving here. While the addiction criteria were coded as 1/0 for each minute, the variables included in the AB-T score were more detailed, and individual elements potentially indicative of addictive-like behaviour were differentiated. Mood modification and Lack of self-control were not used in the designation of the AB-T score. See Sect. 1.6 and Table 3 for more details.
Assessment of differences in durations of toy-directed behaviours between high-AB dogs and low-AB dogs
We performed Mann-Whitney U tests to assess whether high-AB and low-AB dogs differed in quantitatively coded variables such as time engaging with the toy during different subtests, attempting to attain an unavailable toy, etc. (see Supplementary Tables 4 and 5).
Associations between questionnaire and behaviour test results and calculation of an Addictive-like Behaviour Questionnaire score (AB-Q score)
Linear models were used to assess associations between the addictive-like behaviour score and the 19 questionnaire questions targeting addictive-like behaviour. Model requirements were checked by visually assessing normality and homoscedasticity of the residuals. If applicable, the dependent variable was transformed.
Additionally, Mann-Whitney U tests were used to test whether the 19 questionnaire scores differed between high-AB and low-AB dogs. This was the case for fifteen questions; therefore, these were summed up to generate an Addictive-like Behaviour Questionnaire score (AB-Q score). Cohen’s R was used as a measure of effect size.
Both intra-rater reliability (available for 274 dogs, including dogs from the online survey) and inter-rater reliability (available for 24 dogs) of the AB-Q score were very good (see Supplementary Table 6).
Due to the exploratory nature of this study, no correction for multiple testing was performed (as recommended by73.
Results
Addictive-like behaviour test score (AB-T score)
The mid-point of the data range of the AB-T score was 44.2 (range 6.6–95). Therefore, dogs scoring 44.2 or higher were classified as showing a high tendency for addictive-like behaviour (high-AB dogs). This was the case for thirty-three of the 105 highly play-motivated dogs tested, with a mean score of 59.7 points and a median of 58.6. The mean AB-T score for low-AB dogs (< 44.2 points) was 23.1, and the median was 22.8. For descriptive statistics, see Supplementary Table 7.
Assessment of differences between high-AB dogs and low-AB dogs in summary scores of individual behavioural addiction criteria
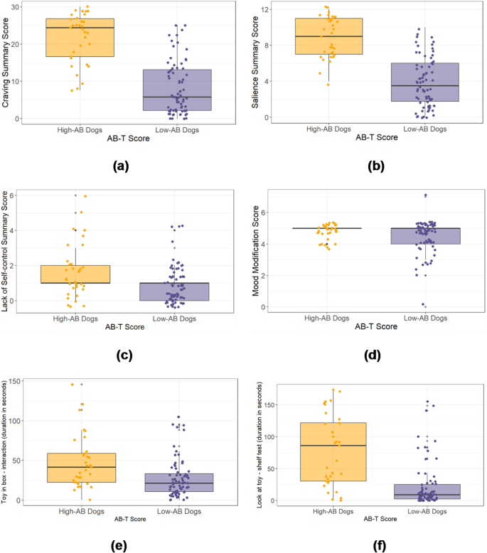
Mann-Whitney U tests indicated that high-AB dogs scored significantly higher than low-AB dogs on craving (U = 217, p < 0.0001), salience (U = 208, p < 0.0001), and lack of self-control (U = 756.5, p = 0.002), but not mood modification (U = 1022, p = 0.157), in the behaviour test (see Supplementary Table 4, Figs. 2a-d). For descriptive statistics, see Supplementary Table 8.
Behavioural addiction criteria and toy-directed behaviors: Multiple sub-figures (a–g) illustrate differences between high-AB and low-AB dogs across various metrics. (a) Craving summary score (b) Salience summary score (c) Lack of self-control summary score (d) Mood modification summary (e) Interaction with the box while the toy is enclosed – total interaction time (s) (f) Toy on the shelf– duration of looking at the toy (s).
Quantitatively coded variables
High-AB dogs interacted significantly longer with the box than low-AB dogs in the ‘toy in the box’ subtest (U = 675.5, p < 0.0001). They also spent more time looking at the toy on the shelf during the ‘toy on shelf’ subtest (U = 414.5, p < 0.0001) and the ‘social play without toys’ subtest (U = 942.5, p = 0.021), while focusing less on the owner in the latter (U = 819.5, p = 0.011) compared to low-AB dogs (Supplementary Table 5, Fig. 2e and f). However, time spent interacting with the toy while the owner and experimenter were out of the room did not differ significantly between high-AB and low-AB dogs (U = 994, p = 0.135; Supplementary Table 5). For descriptive statistics, see Supplementary Table 9.
Addictive-like behaviour questionnaire score (AB-Q score)
Linear models demonstrated significant associations between the AB-T score and 18 out of 19 individual questions (Table 6). However, according to Mann-Whitney U tests, only fifteen questions differed significantly between dogs classified as showing a high tendency for addictive-like behaviour in the behaviour test (AB-T score ≥ 44.2) and those that did not. These fifteen questions (Cohen’s R > 0.2 – see Table 6) were summed up into the Addictive-like Behaviour Questionnaire score (AB-Q score) (see Table 6).
Discussion
This study represents the beginning of the exploration of addictive-like behaviour in domestic dogs. Convergent behavioural measures support the existence of an addictive-like behavioural phenotype in 33 of the 105 tested highly play-motivated dogs. Note that we specifically sought dogs exhibiting extreme behaviour; thus, this proportion is not a reflection of the general population. Perhaps not surprising, working breeds – many of which are known to have been artificially selected for high toy or predatory motivation74,75,76 – were overrepresented in the sample.
As predicted, dogs classified as high-AB dogs based on the detailed AB-T score (Addictive-like Behaviour Test score) scored significantly higher than low-AB dogs on the individual criteria craving, salience, and lack of self-control in the behaviour test. Contrary to the prediction, mood modification (when given access to a toy) did not differ between high and low-AB dogs. In retrospect, however, this lack of difference between the two groups strengthens our argument that we were measuring a phenotype beyond mere enjoyment of play. Still, despite the significant differences between high- and low-AB dogs in the other investigated addiction criteria, Salience, Craving and Loss of Self Control, there was generally high variation between individuals.
In line with the predictions, high-AB dogs showed higher durations of focusing on and trying to access an inaccessible toy than low-AB dogs, often prioritising attempting to access the toy over eating or interacting with the owner. Thus, there was general agreement between the three alternative methods of coding the data (detailed behaviour score, addiction criteria, and quantitative coding), indicating internal consistency.
The external validity of the behaviour test was demonstrated by significant associations of the AB-T score with 18 out of 19 questions from the addictive-like behaviour questionnaire filled in by the dogs’ owners, intended to measure addictive-like behaviour in everyday life. Nonetheless, although significant, the effect sizes were relatively low, indicating that no single question would have predictive value for assessing a tendency for addictive-like behaviour in dogs.
In studies using animal models of substance addiction, one way to differentiate an addiction from drug use that occurs due to lack of choice is to present the subject with a choice between the addictive substance and other highly desirable stimuli. If an individual continues to take the drug at the expense of these other options (such as consumption of a food reward), this points to the possibility of addictive-like behaviour77,78. Consistent with this, high-AB dogs showed a loss of interest in other relevant stimuli, focusing on the inaccessible toy and foregoing the opportunity to consume food or to engage with their owner. The latter is also reminiscent of behavioural addictions in humans, leading to a decline in social interactions79.
The intense toy-seeking and loss of interest in other stimuli, despite the availability of food or social interaction – considered as indicators for salience and persistence – might resemble “hyperfocus,” a trait associated with ADHD and autism in humans80,81. However, unlike typical hyperfocus, which often emerges in the absence of competing stimuli, dogs in our study were presented with alternative salient rewards (e.g., the toy was placed on a shelf while the owner actively invited the dog to engage in social play; in another subtest, food was available in a puzzle toy while the preferred toy was inaccessible in a closed container), and they still showed a preference for the inaccessible toy. Like dogs with ADHD, dogs in the current study with high AB-T scores in general exhibited high impulsivity (labelled as “loss of self-control”), and some individuals displayed heightened activity (which could be interpreted as the hyperactivity component of ADHD64,65 in particular during the cool-down period. Thus, further research is needed to explore commonalities and differences between addictive-like behaviour and ADHD-like behaviour in dogs. While dogs with a high tendency for addictive-like behaviour might exhibit many characteristics of dogs with ADHD, the converse is not necessarily true – dogs might show ADHD-like behaviour without displaying any hyperfixation on toys.
Another characteristic of addicted individuals is that they are willing to pursue their addiction even if it has adverse consequences82. In the current study, “adversity” was elicited by the owner and the experimenter leaving the room in order to assess the effect of social isolation on the behavioural addiction criteria. Isolation in an unfamiliar place is well-established as a stressful experience for dogs83,84,85,86. However, this subtest was not a good measure of addictive-like behaviour: Time spent interacting with the toy while the dog was alone did not differ significantly between high-AB and low-AB dogs. For welfare reasons, we decided against exposing the dogs to more severe stressors; however, it cannot be ruled out that this subtest was not “aversive” enough. The dog was left alone for only 30 seconds, and the subtest took place in the middle of the test when the dogs were already habituated to the test room. It is also possible that individual differences in subjects’ separation distress, independent of play motivation, affected the results. Additionally, there was no clear contingency between interacting with the toy and the ‘adverse’ outcome (owner leaving). Future studies could potentially enhance the design by providing the dog with an explicit choice, such as by placing the toy in a separate room, away from the owner and the experimenter. This could help determine whether the dog is willing to risk being alone in an unusual or new environment when it normally prefers the safety of being near its owner. Such a design would better reflect the conflict between competing motivations (social security vs. reward seeking) and could offer a more valid test of the criterion of persistence under adversity.
Still, the importance of continued efforts to engage in the behaviour despite adverse consequences was demonstrated in the questionnaire, where one of the highest associations with the AB-T score was found with the question, “My dog will continue to play with a ball/toy despite adverse consequences”. This suggests that some dogs may fulfil the criterion of continuing the addictive-like behaviour despite adverse consequences in real life, even if this could not be demonstrated in the behaviour test.
A critical factor in addiction is the propensity to attribute incentive salience to classically conditioned cues predicting rewards87,88. In humans, cues associated with addictive behaviours, such as specific locations or objects, can induce craving and drug administration88,89. In dogs, a toy such as a ball could represent such as a conditioned cue. It may achieve its value, for example, by the experience of chasing and catching. For many domestic dogs, balls or other toys possess incentive salience, according to the three criteria by Robinson and Berridge49: they (1) “elicit approach” (i.e. they become “wanted” and act as “motivational magnets”); (2) “they can energise ongoing actions by eliciting cue-triggered wanting”; (3) “they can act as reinforcers in their own right, reinforcing the acquisition of a new instrumental response (measurable by conditioned reinforcement)” (cf49, p. 3139].).
The perceived value of the toy was demonstrated in our study by many dogs having difficulty relinquishing the toy. It can be speculated that balls become ‘motivational magnets’ by being associated with species-typical predatory behaviour (cf48. The high salience of the toy was especially apparent in subtests where dogs were foregoing available alternatives such as freely available food or social play with the owner, at the expense of trying to regain their inaccessible toy.
In both rodents and humans90,91, individuals with a higher tendency to attribute incentive salience to classically conditioned cues predicting rewards (sign trackers) are more vulnerable to addiction than goal trackers, who focus primarily on the (location of the) reward itself88,92, see the meta-analysis by93. Tendency to sign-track vs. goal-track is associated with the risk of addiction and is also related to variations in the dopaminergic system and stress physiology88.
While it was not explicitly measured in the current study, in dogs, a tendency to sign track might be advantageous in a training context – i.e., maintaining motivation would be easier in dogs that are not only sensitive to rewards but also attribute value to the cues predicting these rewards, even if not always followed by a primary reinforcer. Sensitivity to reward – and propensity to attribute incentive salience to reward-predictive cues – would thus be highly relevant traits in relation to trainability and might be selected for especially in working dog breeds.
Several publications state the importance of ‘obsessive’ play motivation for working dog success42,94,95,96,97,98,99. Dogs with extreme toy motivation are believed to show better focus, reduced distractibility and greater trainability97,99. However, if such motivation becomes addictive-like, it needs to be questioned whether the well-being of these dogs may be compromised. If dogs prioritise toy interactions over other essential aspects of their daily lives this may have maladaptive effects, as is the case in humans with behavioural addictions100,101. Certainly, adverse health consequences may arise from repetitive ball chasing, like straining ligaments and joints56. Moreover, welfare would be compromised when dogs experience a high level of frustration when access to their reward is prevented (cf102.
Anecdotally, when play motivation becomes excessive, irritability, high arousal levels, and frustration may negatively affect dogs’ trainability and work103. Indeed, as stated by Mathews96, the high ‘drive’ of search dogs often makes them unsuitable as family pets, which is also supported by owner reports that pet dogs with extreme motivation for toys are often problematic to control102.
Thus, it needs to be questioned when play becomes maladaptive. Do high-AB dogs still ‘like’ to play, or have they progressed to primarily ‘wanting’ and the compulsive need to continue104?. Similar to the escalating engagement seen in human behavioural addictions105, some dogs would repeatedly spin, jump, focus or bark towards the unavailable toy on the shelf for the duration of the subtest. Two dogs even managed to destroy the box enclosing their favourite toy. These behaviours might be likened to the repetitive actions observed in individuals with behavioural addictions41. Nonetheless, such behaviours may also occur in other behavioural phenotypes such as canine compulsive disorder or autism spectrum-like behaviours106. Further research is needed to elucidate commonalities and differences between such phenotypes in dogs.
Behavioural addictions in humans often involve emotional dependency on specific activities107. Whether dogs similarly seek comfort, stimulation, or stress relief through persistent engagement with the toy could not be determined in the context of the behaviour test. In the questionnaire, “Is attached to the favourite toy” was the only question not significantly associated with the AB-T score. Thus, further research is required to determine whether dogs develop an emotional dependency on their toys (as described anecdotally).
To better understand the origin and possible functional underpinnings of excessive toy-directed behaviour in dogs, future research should examine whether similar patterns of excessive object play occur in non-domesticated canids. While data are limited, recent studies have shown that both hand-reared and wild wolf pups engage in object play108. For instance, wolf pups have been observed developing a preference for toys and spending increasing amounts of time with them over time108. Hand-reared wolf pups will even retrieve objects to humans109. In the wild, wolves have also been seen interacting with human-made objects110. These findings suggest that object play is not unique to dogs but rather could represent a broader trait shared by canids. Comparative studies are needed to assess how common and functionally relevant such behaviours are in wolves, which would help clarify the biological basis of the addictive-like behaviours observed in some dogs.
Being the first of its kind, this study has its limitations. As no gold standard exists, the study is exploratory, and our categorisation of dogs into high and low addictive-like behaviour groups, determined by a data range split, was somewhat arbitrary. Nonetheless, the assignment of high- and low-AB categories corresponded well to the first author’s personal assessment of addictive-like tendencies in the participant dogs.
In interpreting the questionnaire results, it is important to acknowledge the potential biases associated with using owner-reported questionnaires. Owners may unintentionally project their perceptions or expectations onto their dogs’ behaviours, potentially leading to discrepancies between reported and observed behaviours in behavioural test. This is particularly relevant in cases where owners have multiple dogs, as they are likely to compare their pets to one another, influencing their assessment, such as by underestimating or overestimating certain behaviours. For instance, an owner with a highly active dog may rate their less active dog as overly calm. Integrating owner reports and objective testing allows for a more comprehensive and accurate canine behaviour evaluation.
)Conclusions
To conclude, there appear to be parallels between excessive toy motivation in dogs and behavioural addictions in humans. Interestingly, also in humans, the first officially recognised behavioural addictions (gambling and internet gaming) originate in play28,29,30,111. Generally, play is an activity that induces a pleasurable emotional state6. In humans, much evidence suggests that video games can affect people’s lives positively. They make players feel better about themselves, help raise their self-esteem and assist people in dealing with everyday stress111. Some people are excessive gamers, but only a minority would be classified as addicts111,112,113. Similarly, many dogs may greatly enjoy toy play without developing harmful compulsions (cf. in humans28,29,30,111).
Despite the observed parallels between high-AB dogs and humans affected by behavioural addictions, we refrain from conclusively characterising high-AB dogs as exhibiting addictive behaviour, given the absence of established benchmarks or standardised criteria. It is important to be cautious when pathologising behaviour, especially given that even in humans, addictive behaviours are still difficult to define and measure114. To further understand possible parallels in the processes underlying behavioural addictions in humans and excessive toy motivation in dogs, subsequent research endeavours should seek to correlate individual differences in addictive-like behaviour in dogs with characteristics associated with addictive behaviours in humans, such as high impulsivity, impaired reversal learning, heightened perseveration, and delayed extinction of previously rewarded responses115,116.
Data availability
All data supporting the findings of this study are available within the paper and its Supplementary Information.
References
Bradshaw, J. W. S., Pullen, A. J. & Rooney, N. J. Why do adult dogs ‘play’? Behav. Process. 110, 82–87 (2015).
Burghardt, G. M., Albright, J. D. & Davis, K. M. Motivation, development and object play: comparative perspectives with lessons from dogs. Behaviour 153, 767–793 (2016).
Diamond, J. & Behaviour, A. B. & undefined. A comparative analysis of social play in birds. JSTORJ Diamond, AB BondBehaviour, 2003•JSTOR (2003). (2003).
Bateson, P. Play, playfulness, creativity and innovation. Anim. Behav. Cognition. 1, 99–112 (2014).
Sommerville, R., O’Connor, E. A. & Asher, L. Why do dogs play? Function and welfare implications of play in the domestic dog. Appl. Anim. Behav. Sci. 197, 1–8 (2017).
Held, S. D. E. & Špinka, M. Animal play and animal welfare. Animal Behaviour vol. 81 891–899 Preprint at (2011). https://doi.org/10.1016/j.anbehav.2011.01.007
Bateson, P. Play Playfulness, creativity and innovation. Anim Behav. Cogn 1(2), 99–112 (2014).
Trezza, V., Damsteegt, R., Marijke Achterberg, E. J. & Vanderschuren, L. J. M. J. Nucleus accumbens µ-opioid receptors mediate social reward. J. Neurosci. 31, 6362–6370 (2011).
Blois-Heulin, C. et al. Animal welfare: could adult play be a false friend?? Anim. Behav. Cogn. 2, 156–185 (2015).
Panksepp, J. Affective Neuroscience: the Foundations of Human and Animal Emotions (Oxford University Press, 1998).
Dias, P. A. D. & Rangel-Negrín, A. Affiliative contacts and greetings. The Int. Encyclopedia of Primatology,. Wiley-Blackwell, pp 1-4 (2016).
Maroney, N., Williams, B. J., Thomas, A., Skues, J. & Moulding, R. A Stress-Coping model of problem online video game use. Int. J. Ment Health Addict. 17, 845–858 (2019).
Blasi, M. D. I. et al. Problematic video game use as an emotional coping strategy: evidence from a sample of MMORPG gamers. J. Behav. Addict. 8, 25–34 (2019).
Melodia, F., Canale, N. & Griffiths, M. D. The role of avoidance coping and escape motives in problematic online gaming: A systematic literature review. Int. J. Ment Health Addict. 20, 996–1022 (2022).
Organization., W. H. ICD-11. ICD-11 (2019). https://icd.who.int/en
Freimuth, M., Moniz, S. & Kim, S. R. Clarifying exercise addiction: differential diagnosis, co-occurring disorders, and phases of addiction. Int. J. Environ. Res. Public. Health. 8, 4069–4081 (2011).
Olsen, C. M. Natural rewards, neuroplasticity, and non-drug addictions. Neuropharmacology vol. 61 1109–1122 Preprint at (2011). https://doi.org/10.1016/j.neuropharm.2011.03.010
Alavi, S. S. et al. Behavioral addiction versus substance addiction: correspondence of psychiatric and psychological views. Int. J. Prev. Med. 3, 290–294 (2012).
Pinna, F. et al. Behavioural addictions and the transition from DSM-IV-TR to DSM-5. J. Psychopathol. 21, 380–389 (2015).
Robbins, T. W. & Clark, L. Behavioral addictions. Current Opinion in Neurobiology vol. 30 66–72 Preprint at (2015). https://doi.org/10.1016/j.conb.2014.09.005
Fan, L., Li, K., Xin, J., Wang, Y. & Li, Y. Family Subjective Socioeconomic Status and University Students’ Online Shopping Addiction: A Gender-Based Analysis. https://home.liebertpub.com/cyber (2022). https://doi.org/10.1089/CYBER.2021.0344
Larocque, E. & Moreau, N. When sport is taken to extremes: A sociohistorical analysis of sport addiction. Int. Rev. Sociol. Sport. https://doi.org/10.1177/10126902221104956 (2022).
Atroszko, P. A. Work addiction as a behavioural addiction: Towards a valid identification of problematic behaviour. Australian and New Zealand Journal of Psychiatry vol. 53 284–285 Preprint at (2019). https://doi.org/10.1177/0004867419828496
Kun, B., Takacs, Z. K., Richman, M. J., Griffiths, M. D. & Demetrovics, Z. Work addiction and personality: A meta-analytic study. J. Behav. Addict. 9, 945–966 (2020).
Niedermoser, D. W. et al. Shopping addiction: A brief review. Pract. Innovations. 6, 199–207 (2021).
American Psychiatric Association. Diagnostic and Statistical Manual of Mental Disorders. (2013). https://doi.org/10.1176/APPI.BOOKS.9780890425596
Walia, B., Kim, J., Ijere, I. & Sanders, S. Video game addictive symptom level, use intensity, and hedonic experience: Cross-sectional questionnaire study. JMIR Serious Games. 10, e33661 (2022).
Beranuy, M., Carbonell, X. & Griffiths, M. D. A qualitative analysis of online gaming addicts in treatment. Int. J. Ment Health Addict. 11, 149–161 (2013).
Higuchi, S. et al. Development and validation of a nine-item short screening test for ICD-11 gaming disorder (GAMES test) and Estimation of the prevalence in the general young population. J. Behav. Addict. 10, 263–280 (2021).
Stevens, M. W. R., Dorstyn, D., Delfabbro, P. H. & King, D. L. Global prevalence of gaming disorder: A systematic review and meta-analysis. Australian and New Zealand Journal of Psychiatry vol. 55 553–568 Preprint at (2021). https://doi.org/10.1177/0004867420962851
Di Segni, M., Patrono, E., Patella, L., Puglisi-Allegra, S. & Ventura, R. Animal models of compulsive eating behavior. Nutrients vol. 6 4591–4609 Preprint at (2014). https://doi.org/10.3390/nu6104591
Brené S. et al. Running is rewarding and antidepressive. Physiol. Behav. 1-2, 136–140 (2007).
Kanarek, R. B., D’Anci, K. E., Jurdak, N. & Mathes, W. F. Running and addiction: precipitated withdrawal in a rat model of Activity-Based anorexia. Behav. Neurosci. 123, 905–912 (2009).
Winstanley, C. A. Gambling rats: insight into impulsive and addictive behavior. Neuropsychopharmacology 36, 359 (2011).
Pitchers, K. K. et al. ∆FosB in the nucleus accumbens is critical for reinforcing effects of sexual reward. Genes Brain Behav. 9, 831–840 (2010).
Kolb, E. M., Kelly, S. A. & Garland, T. Mice from lines selectively bred for high voluntary wheel running exhibit lower blood pressure during withdrawal from wheel access. Physiol. Behav. 112–113, 49–55 (2013).
Carter, P. A., Swallow, J. G., Davis, S. J. & Garland, T. Nesting Behavior of House Mice (Mus Domesticus) Selected for Increased Wheel-Running Activity. Behavior Genetics 30, 85–94 (2000). (2000).
De Visser, L., Van Den Bos, R. & Spruijt, B. M. Automated home cage observations as a tool to measure the effects of wheel running on cage floor locomotion. Behav. Brain. Res. 160, 382–388 (2005).
Kas, M. J. H. & Edgar, D. M. A nonphotic stimulus inverts the diurnal-nocturnal phase preference in Octodon Degus. J. Neurosci. 19, 328–333 (1999).
Reebs, S. G. & St-Onge, P. Running wheel choice by Syrian hamsters. Lab. Anim. 39, 442–451 (2005).
Grant, J. E., Potenza, M. N., Weinstein, A. & Gorelick, D. A. Introduction to behavioral addictions. American Journal of Drug and Alcohol Abuse vol. 36 233–241 Preprint at (2010). https://doi.org/10.3109/00952990.2010.491884
Jamieson, L. T. J., Baxter, G. S. & Murray, P. J. Identifying suitable detection dogs. Applied Animal Behaviour Science vol. 195 1–7 Preprint at (2017). https://doi.org/10.1016/j.applanim.2017.06.010
Rooney, N. J., Bradshaw, J. W. & Almey, H. Attributes of specialist search dogs—a questionnaire survey of UK dog handlers and trainers. J. Forensic Sci. 49, 1–7 (2004).
Naderi, S., Miklósi, Á., Dóka, A. & Csányi, V. Co-operative interactions between blind persons and their dogs. Appl. Anim. Behav. Sci. 74, 59–80 (2001).
Mariti, C. et al. Dog attachment to man: A comparison between pet and working dogs. J. Veterinary Behav. 8, 135–145 (2013).
Kolm, N., Temrin, H., Miklósi, Á. & Kubinyi, E. & Zsolt garamszegi, L. The link between selection for function and human-directed play behaviour in dogs. (2020). https://doi.org/10.1098/rsbl.2020.0366
Sundman, A. S., Johnsson, M., Wright, D. & Jensen, P. Similar recent selection criteria associated with different behavioural effects in two dog breeds. Genes Brain Behav. 15, 750–756 (2016).
Lazarowski, L. et al. Selecting Dogs for Explosives Detection: Behavioral Characteristics. Frontiers in Veterinary Science vol. 7 597 Preprint at (2020). https://doi.org/10.3389/fvets.2020.00597
Robinson, T. E. & Berridge, K. C. The incentive sensitization theory of addiction: some current issues. Philosophical Trans. Royal Soc. B: Biol. Sci. 363, 3137–3146 (2008). (The Royal SocietyLondon.
Stephens, D. N. et al. Reward sensitivity: Issues of measurement, and achieving consilience between human and animal phenotypes. Addiction Biology vol. 15 146–168 Preprint at (2010). https://doi.org/10.1111/j.1369-1600.2009.00193.x
Antons, S., Brand, M. & Potenza, M. N. Neurobiology of cue-reactivity, craving, and inhibitory control in non-substance addictive behaviors. Journal of the Neurological Sciences vol. 415 116952 Preprint at (2020). https://doi.org/10.1016/j.jns.2020.116952
Choi, J. S. et al. Dysfunctional inhibitory control and impulsivity in internet addiction. Psychiatry Res. 215, 424–428 (2014).
Kräplin, A. et al. The role of inhibitory control and decisionmaking in the course of internet gaming disorder. J. Behav. Addict. 9, 990–1001 (2021).
Hebebrand, J. et al. ‘Eating addiction’, rather than ‘food addiction’, better captures addictive-like eating behavior. Neuroscience and Biobehavioral Reviews vol. 47 295–306 Preprint at (2014). https://doi.org/10.1016/j.neubiorev.2014.08.016
Käufer, M. ‘Throw the damn ball!’ Warum Ballwerfen kein Spiel ist. in … und weg ist er! Jagdverhalten und mögliche Alternativen 129–154 (Filander, Erlangen, 2014).
Marcellin-Little, D. J., Levine, D. & Taylor, R. Rehabilitation and conditioning of sporting dogs. Veterinary Clinics of North America - Small Animal Practice vol. 35 1427–1439 Preprint at (2005). https://doi.org/10.1016/j.cvsm.2005.08.002
Overall, K. L. Natural animal models of human psychiatric conditions: assessment of mechanism and validity. Prog Neuropsychopharmacol. Biol. Psychiatry. 24, 727–776 (2000).
Boulougouris, V., Chamberlain, S. R. & Robbins, T. W. Cross-species models of OCD spectrum disorders. Psychiatry Res. 170, 15–21 (2009).
Vermeire, S. et al. Serotonin 2A receptor, serotonin transporter and dopamine transporter alterations in dogs with compulsive behaviour as a promising model for human obsessive-compulsive disorder. Psychiatry Res. Neuroimaging. 201, 78–87 (2012).
Hoffman, J. M., Creevy, K. E., Franks, A., O’Neill, D. G. & Promislow, D. E. L. The companion dog as a model for human aging and mortality. Aging Cell. 17, e12737 (2018).
Sándor, S. & Kubinyi, E. Genetic pathways of aging and their relevance in the dog as a natural model of human aging. Front. Genet. 10, 948 (2019).
Vitek, M. P. et al. Translational animal models for alzheimer’s disease: an alzheimer’s association business consortium think tank. Alzheimer’s Dementia: Translational Res. Clin. Interventions. 6, e12114 (2020).
González-Martínez, Á., de Miguel, M., Graña, S., Costas, N., Diéguez, F. J. & X. & Serotonin and dopamine blood levels in ADHD-Like dogs. Animals 13, 1037 (2023).
Sulkama, S. et al. Canine hyperactivity, impulsivity, and inattention share similar demographic risk factors and behavioural comorbidities with human ADHD. Transl Psychiatry. 11, 1–9 (2021).
Csibra, B., Bunford, N. & Gácsi, M. Development of a human-analogue, 3-symptom domain dog ADHD and functionality rating scale (DAFRS). Sci. Rep. 14, 1–18 (2024).
Salonen, M. et al. Personality traits associate with behavioral problems in pet dogs. Transl Psychiatry 12, 1-7 (2022).
Tian, R. et al. Modeling SHANK3-associated autism spectrum disorder in Beagle dogs via CRISPR/Cas9 gene editing. Molecular Psychiatry 2023 28:9 28, 3739–3750 (2023).
Li, Y. et al. Reduced attention to human eyes in autism-associated Shank3 mutant laboratory beagle dogs. Mol. Psychiatry. 30, 3765–3773 (2025).
Zhu, F., Shi, Q., Jiang, Y., hui, Zhang, Y. Q. & Zhao, H. Impaired synaptic function and hyperexcitability of the pyramidal neurons in the prefrontal cortex of autism-associated Shank3 mutant dogs. Springer 15, (2024).
Griffiths, M. Classification and treatment of behavioural addictions. Nurs. Pract. 82, 44–46 (2015).
Landolfi, E. Exercise addiction. Sports Med. 43, 111–119 (2012).
Van Rooij, A. J. & Prause, N. A critical review of internet addiction criteria with suggestions for the future. J. Behav. Addict. 3, 203–213 (2014).
Bender, R. & Lange, S. Adjusting for multiple testing - When and how? J. Clin. Epidemiol. 54, 343–349 (2001).
Coppinger, R. & Coppinger, L. Dogs: A New Understanding of Canine Origin, Behavior, and Evolution (University of Chicago Press, 2002).
Mehrkam, L. R., Hall, N. J., Haitz, C. & Wynne, C. D. L. The influence of breed and environmental factors on social and solitary play in dogs (Canis lupus familiaris). Learn. Behav. 45, 367–377 (2017).
Eken Asp, H., Fikse, W. F., Nilsson, K. & Strandberg, E. Breed differences in everyday behaviour of dogs. Appl. Anim. Behav. Sci. 169, 69–77 (2015).
Ahmed, S. H., Lenoir, M. & Guillem, K. Neurobiology of addiction versus drug use driven by lack of choice. Current Opinion in Neurobiology vol. 23 581–587 Preprint at (2013). https://doi.org/10.1016/j.conb.2013.01.028
Golden, S. A. et al. Compulsive Addiction-like aggressive behavior in mice. Biol. Psychiatry. 82, 239–248 (2017).
Kuss, D. J., Louws, J. & Wiers, R. W. Online gaming addiction? Motives predict addictive play behavior in massively multiplayer online role-playing games. Cyberpsychol Behav. Soc. Netw. 15, 480–485 (2012).
Ashinoff, B. K. & Abu-Akel, A. Hyperfocus: the forgotten frontier of attention. Psychological Research 2019 85:1 85, 1–19 (2019).
Grotewiel, M. M., Crenshaw, M. E., Dorsey, A. & Street, E. Experiences of hyperfocus and flow in college students with and without attention deficit hyperactivity disorder (ADHD). Curr. Psychol. 42, 13265–13275 (2023).
Vanderschuren, L. J., Minnaard, A. M., Smeets, J. A. & Lesscher, H. M. Punishment models of addictive behavior. Curr. Opin. Behav. Sci. 13, 77–84 (2017).
Palestrini, C., Previde, E. P., Spiezio, C. & Verga, M. Heart rate and behavioural responses of dogs in the ainsworth’s strange situation: A pilot study. Appl. Anim. Behav. Sci. 94, 75–88 (2005).
Palmer, R. & Custance, D. A counterbalanced version of ainsworth’s strange situation procedure reveals secure-base effects in dog-human relationships. Appl. Anim. Behav. Sci. 109, 306–319 (2008).
Ryan, M. G., Storey, A. E., Anderson, R. E. & Walsh, C. J. Physiological indicators of attachment in domestic dogs (Canis familiaris) and their owners in the strange situation test. Front. Behav. Neurosci. 13, 456977 (2019).
Riemer, S., Assis, L., Pike, T. W. & Mills, D. S. Dynamic changes in ear temperature in relation to separation distress in dogs. Physiol. Behav. 167, 86–91 (2016).
Flagel, S. B. et al. An Animal Model of Genetic Vulnerability to Behavioral Disinhibition and Responsiveness to Reward-Related Cues: Implications for Addiction. Neuropsychopharmacology 2010 35:2 35, 388–400 (2009).
Flagel, S. B., Akil, H. & Robinson, T. E. Individual differences in the attribution of incentive salience to reward-related cues: Implications for addiction. Neuropharmacology vol. 56 139–148 Preprint at (2009). https://doi.org/10.1016/j.neuropharm.2008.06.027
Marlatt, G. A. Cue exposure and relapse prevention in the treatment of addictive behaviors. Addict. Behav. 15, 395–399 (1990).
Olney, J. J., Warlow, S. M., Naffziger, E. E. & Berridge, K. C. Current perspectives on incentive salience and applications to clinical disorders. Curr. Opin. Behav. Sci. 22, 59–69 (2018).
Cofresí, R. U., Bartholow, B. D. & Piasecki, T. M. Evidence for incentive salience sensitization as a pathway to alcohol use disorder. Neuroscience and Biobehavioral Reviews vol. 107 897–926 Preprint at (2019). https://doi.org/10.1016/j.neubiorev.2019.10.009
Berridge, K. C., Robinson, T. E. & Aldridge, J. W. Dissecting components of reward: ‘liking’, ‘wanting’, and learning. Current Opinion in Pharmacology vol. 9 65–73 Preprint at (2009). https://doi.org/10.1016/j.coph.2008.12.014
Meyer, P. J. et al. Quantifying individual variation in the propensity to attribute incentive salience to reward cues. PLoS One. 7, e38987 (2012).
Beebe, S. C., Howell, T. J. & Bennett, P. C. Using scent detection dogs in conservation settings: A review of scientific literature regarding their selection. Front. Veterinary Sci. 3 (1), Preprintathttpsdoiorg103389fvets201600096 (2016).
Reed, S. E., Bidlack, A. L., Hurt, A. & Getz, W. M. Detection distance and environmental factors in conservation detection dog surveys. J. Wildl. Manage. 75, 243–251 (2011).
Mathews, F. et al. Effectiveness of search dogs compared with human observers in locating Bat carcasses at wind-turbine sites: A blinded randomized trial. Wildl. Soc. Bull. 37, 34–40 (2013).
Hsu, Y. & Serpell, J. A. Development and validation of a questionnaire for measuring behavior and temperament traits in pet dogs. J. Am. Vet. Med. Assoc. 223, 1293–1300 (2003).
Hsu, Y. & Sun, L. Factors associated with aggressive responses in pet dogs. Appl. Anim. Behav. Sci. 123, 108–123 (2010).
Serpell, J. A. & Hsu, Y. Effects of breed, sex, and neuter status on trainability in dogs. in Anthrozoos vol. 18 196–207 (2005).
Müller, A. et al. Food addiction and other addictive behaviours in bariatric surgery candidates. Eur. Eat. Disorders Rev. 26, 585–596 (2018).
Tunney, R. J. & James, R. J. E. Criteria for conceptualizing behavioural addiction should be informed by the underlying behavioural mechanism. Addiction 112, 1720–1721 (2017).
Gerencsér, L., Bunford, N., Moesta, A. & Miklósi, Á. Development and validation of the canine reward responsiveness scale -Examining individual differences in reward responsiveness of the domestic dog. Sci Rep 8, 1-14 (2018).
Lindsay, S. R. Handbook of applied dog behavior and training. Vol. 3: Procedures and protocols. Ames (IA): Iowa Stat University Press (2005).
Berridge, K. C. & Robinson, T. E. Liking, wanting, and the incentive-sensitization theory of addiction. Am. Psychol. 71, 670–679 (2016).
Grant, J. E., Brewer, J. A. & Potenza, M. N. The neurobiology of substance and behavioral addictions. CNS Spectr. 11, 924–930 (2006).
Jacques, C. et al. What interests young autistic children? An exploratory study of object exploration and repetitive behavior. PLoS One. 13, e0209251 (2018).
Brand, M., Young, K. S., Laier, C., Wölfling, K. & Potenza, M. N. Integrating psychological and neurobiological considerations regarding the development and maintenance of specific Internet-use disorders: An Interaction of Person-Affect-Cognition-Execution (I-PACE) model. Neuroscience and Biobehavioral Reviews vol. 71 252–266 Preprint at (2016). https://doi.org/10.1016/j.neubiorev.2016.08.033
Davis, K. M., Partin, A. M., Springer, C. M. & Burghardt, G. M. The development of object play in Wolf puppies (Canis lupus). Int. J. Play. 12, 20–39 (2023).
Hansen Wheat, C. & Temrin, H. Intrinsic Ball Retrieving in Wolf Puppies Suggests Standing Ancestral Variation for Human-Directed Play Behavior. iScience 23, 100811 (2020).
Ausband, D. E. Wolf use of humanmade objects during pup-rearing. Anim. Behav. Cogn. https://doi.org/10.26451/abc.08.03.06.2021 (2021).
Griffiths, M. Online computer gaming: advice for parents and teachers. Educ. Health. 27, 3–6 (2009).
Griffiths, M. D. Diagnosis and Management of Video Game Addiction MMORPGs View Project Diagnosis and Management of Video Game Addiction. (2008).
Ko, C. H., Yen, J. Y., Yen, C. F., Chen, C. S. & Wang, S. Y. The association between internet addiction and belief of frustration intolerance: the gender difference. CyberPsychology Behav. 11, 273–278 (2008).
Petry, N. M., Zajac, K. & Ginley, M. K. Behavioral addictions as mental disorders: to be or not to be? Annu. Rev. Clin. Psychol. 14, 399–423 (2018).
Everitt, B. J. et al. Neural mechanisms underlying the vulnerability to develop compulsive drug-seeking habits and addiction. Philosophical Trans. Royal Soc. B: Biol. Sci. 363, 3125 (2008).
Volkow, N. D. & Fowler, J. S. Addiction, a disease of compulsion and drive: involvement of the orbitofrontal cortex. Cereb. Cortex. 10, 318–325 (2000).
Acknowledgements
This study was funded by the SNSF Ambizione Grant Project PZ00P3_174221 to Stefanie Riemer. Many thanks go to Prof. Hanno Würbel for his feedback and support and to the dog owners and the dogs for their enthusiastic participation in the study.
Ethics declarations
Competing interests
The authors declare that the research was conducted in the absence of any commercial or financial relationships that could be construed as a potential conflict of interest.
Additional information
Publisher’s note
Springer Nature remains neutral with regard to jurisdictional claims in published maps and institutional affiliations.
Supplementary Information
Below is the link to the electronic supplementary material.
Rights and permissions
Open Access This article is licensed under a Creative Commons Attribution 4.0 International License, which permits use, sharing, adaptation, distribution and reproduction in any medium or format, as long as you give appropriate credit to the original author(s) and the source, provide a link to the Creative Commons licence, and indicate if changes were made. The images or other third party material in this article are included in the article’s Creative Commons licence, unless indicated otherwise in a credit line to the material. If material is not included in the article’s Creative Commons licence and your intended use is not permitted by statutory regulation or exceeds the permitted use, you will need to obtain permission directly from the copyright holder. To view a copy of this licence, visit http://creativecommons.org/licenses/by/4.0/.
About this article
Cite this article
Mazzini, A., Senn, K., Monteleone, F. et al. Addictive-like behavioural traits in pet dogs with extreme motivation for toy play. Sci Rep 15, 32613 (2025). https://doi.org/10.1038/s41598-025-18636-0
Received: 02 April 2025
Accepted: 02 September 2025
Published: 09 October 2025
DOI: https://doi.org/10.1038/s41598-025-18636-0
.png)



