Introduction
Farm size plays a critical role in shaping agricultural systems, influencing productivity, sustainability, and socio-economic outcomes1,2. Small-scale farms, often characterized by limited land area and labor-intensive practices, are prevalent in low-income regions and are crucial for food security and rural livelihoods3,4,5,6. They tend to prioritize diverse cropping systems and subsistence production but may face challenges in accessing markets, technology, and economies of scale7. Medium-scale farms often serve as a bridge between small and large operations, combining some level of mechanization with diversified production. They are better positioned to adopt modern technologies and access markets, contributing substantially to regional food supply chains8. Large-scale farms, typically capital-intensive and highly mechanized, dominate in industrialized regions and are key players in global commodity markets9. They benefit from economies of scale, enabling high productivity and efficiency, but may face criticism for environmental impacts, such as soil degradation and biodiversity loss, and for contributing to land concentration and rural inequality9,10. Each farm size category has distinct roles and challenges, and their interplay within agricultural systems is shaped by local contexts, policies, and market dynamics11.
Despite growing recognition of farm size dynamics as critical determinants of agricultural sustainability and food security, existing scholarship remains disproportionately focused on contemporary or geophysical analyses1,2, with scant attention to the long-term socio-economic shifts in shaping farm size trajectories. Historical reconstructions of farm size distributions are often fragmented, regionally siloed, or reliant on inconsistent metrics. To our knowledge, only a few studies explored the spatial patterns of physical farm size. For instance, a recent study1 estimated the global distribution of GFS in 2017 developed by crowdsourcing visual interpretations of satellite images from Google Maps and Microsoft Bing Maps using the Geo-Wiki application as an online application1. The World Programme for the Census of Agriculture (WPTCA) and derivative reports2,12 indicate the change of farm size, but limited to regional case studies. For many countries, data on farm size are only available for limited years and many countries may have only a few data points on farm size over the past few decades, making it difficult to analyze long-term trends2. Reconstructing harmonized historical farm size datasets could enhance predictive models to account for heterogeneous regional realities. Such efforts are critical to inform equitable, context-specific policies that reconcile productivity goals with ecological and socio-economic resilience in the face of 21st-century demographic and climatic uncertainties.
In this study, we introduce an indicator of “socio-economic farm size (SFS)” defined as the agricultural land area divided by the number of farms. The reason we term it socio-economic is to distinguish it from geophysical farm size (GFS), as different approaches are used to calculate them. The GFS focus on the physical attributes of land, such as area, topography and land use patterns, often relying on satellite-based remote sensing technologies to delineate farm boundaries13,14. However, it’s still very challenging to gain long-term GFS due to data limitations15, and thus this study uses the SFS to explore the long-term changes1. The SFS incorporates demographic, labor, and economic factors, reflecting the interplay between land availability and the number of potential farm operators. This distinction is critical because the two metrics cannot be directly compared. For example, two regions with similar physical farm sizes may have vastly different SFS values due to differences in rural population density or labor availability16,17. By using this term, we aim to highlight the importance of socio-economic context in shaping farm size dynamics and to provide a more holistic understanding of agricultural systems that goes beyond purely geophysical measures.
We focus on examine how SFS has evolved globally over recent decades (1970–2020) and how they might change in the future under different socioeconomic scenarios. This study developed a model to reconstruct the historical data on SFS by integrating information from multiple sources, which enables us to estimate it for years where direct data is unavailable and allows us to project future farm size trends and discuss its policy implications. Understanding these changes is crucial due to their far-reaching impacts on shaping social and environmental outcomes and this analysis could provide crucial insights into potential long-term solutions on effective paths for the sustainable agriculture. In this article, we first show our reconstructed historical SFS data between 1970–2020, then indicate future SFS data between 2020–2100 using our model, and finally discussed the possible implications for policy governance of future land consolidation.
Results
Recent changes in socio-economic farm size
We employ a Bayesian hierarchical quantile additive regression model to predict the relationship between the logarithms of the SFS, agricultural area, rural population, and GDP per capita (see “Methods” and Table S1). Our model can well capture changes in SFS both globally and regionally (Fig. 1 and Fig. S1). Our model also performs excellently on the back-transformed scale (Fig. S2). The term plots of the model (Fig. S3) illustrate the relative strength of each predictor’s influence on the dependent variable and reveal whether the effect of each predictor is linear (for agricultural area and rural population) or nonlinear (for GDP per capita). The residual distributions for both the overall model (Fig. S4) and individual predictors (Fig. S5) appear randomized, showing no discernible patterns, which indicates a good model fit. These validations illustrate that we well estimated the functional form of the predictors and the expected quantile. While the effects are nonlinear, linearized approximations for the average effects are +0.13%, +0.85% and −0.82% change in SFS across a country for every percentage change in GDP per capita, agricultural area, and rural population, respectively. The relative impacts of agricultural area and rural population are roughly equal in magnitude and opposite in sign.
a Model fit results vs. observations. b Histogram of raw residuals. c, d Equivalent plots of the same model on back-transformed scale. Each point represents a nationally representative agricultural census. Black lines are the 1/1 lines; blue lines are the linear fits. The data used to predict SFS were derived from FAOSTAT and World Programme for The Census of Agriculture.
Between 1970 and 2000, global average SFS has decreased by 0.37 ha yr−1 (0.5% yr−1) and after then increased by 0.36 ha yr−1 (0.5% yr−1) (Fig. 2). The increase after 2000 can be due to decreasing rural population and appropriate land consolidation of fragmented farms, while global GDP per capita grew rapidly and urbanization accelerated rapidly (Fig. S6).
In high-income regions, we found an exponential increase (Fig. 2), with the ratio of SFS between 2020 and 1970 as 1.96, 1.77 and 1.33 in Europe, Northern America, and Oceania. These regions started urbanization early with small farms highly integrated into larger farms18. In USA, SFS expansion around 1990-2000 was the fastest (1.9% yr−1) (Fig. 3), probably because of the rapid urbanization combined with the Agricultural Adjustment Act, resulting in many small farms being consolidated into larger ones19. European countries like Germany, France, and the United Kingdom, had a rapid growth rate in SFS by 1.6–2.1% yr−1 (Fig. 3) due to a rapid decline in rural population since 1990 (Fig. S11). Rapid urbanization in these high-income regions has resulted in a large amount of land being used for urban purposes, leading to a gradual reduction in agricultural area (Fig. S7 and Fig. S10). The gradual advancement of agricultural knowledge and technology, which allows for the use of less labor to ensure yields (Fig. S7 and Fig. S11), has accelerated the consolidation of small farms into large ones18. However, larger farms often rely on monoculture practices, which can reduce biodiversity and negatively impact ecosystem services20. This shift may also result in a decline in rural employment opportunities21, leading to a decrease in the agricultural population and increased pressure on urban areas.
In Latin America, SFS increased by around 40% between 1970 and 2020 (Fig. 2), where high inputs have been invested in large-scale agriculture22. On the contrary, the parts of Middle East and North Africa, Asia and Sub-Saharan Africa, SFS had a downward trend (Fig. 2), with the ratio between 2020 and 1970 as 0.88, 0.68 and 0.57, respectively. Farm sizes in African countries such as Kenya, Nigeria and Mali declined at a rate of 1.1–2.7% yr−1; India’s SFS declined by 1.8% yr−1, where laws such as the Land Ceiling Act, which limits the amount of land that can be owned by an individual or a family, have preserved the smallholder economy23. As land holdings become smaller, farmers may struggle to maintain food production levels, reducing local food availability and increasing dependency on food imports24,25. This could also worsen poverty levels in rural areas, as farmers with reduced land are less likely to access markets, credit, and technology that might help increase yields26. The shrinking SFSs may, therefore, increase vulnerability to climate-related shocks, such as droughts or floods, which disproportionately affect smaller farms. Regional divergence in farm size trends reflects structural and institutional conditions. In high-income regions like Europe, consolidation is linked to early urbanization and mechanization27. In contrast, continued fragmentation in regions such as Sub-Saharan Africa stems from population pressure, insecure tenure, and weak land markets11,28.
In China, SFS began to expand gradually after 2000 (0.9% yr−1) (Fig. 3). However, China’s SFS is still relatively small due to the Household Contract Responsibility System (HCRS, creating structural fragmentation by dividing land into small, non-tradable plots) and the Hukou system (tieing rural residents to their land for security, discouraging permanent exits from farming or land sales)14. Despite rapid urbanization and rural-to-urban migration, most individuals retain secure contractual rights to rural arable land, which has resulted in a high degree of farm fragmentation and challenges in farm consolidation. The speed and scale of land consolidation are also closely tied to the growth of productive nonfarm sectors, as exemplified by China’s rapid rural-to-urban migration driven by manufacturing expansion, in contrast to countries like India or much of Africa26,29, where nonfarm jobs have not grown at a comparable pace. Thus, policies aimed at farm consolidation must be carefully calibrated against broader economic conditions, the nature of rural labor markets, and the availability of nonfarm employment opportunities.
Future trends
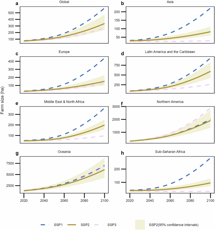
We predict future SFS under the Shared Socioeconomic Pathways (SSPs), which explore how societal choices, economic trends, and environmental policies might shape future climate change and its impacts30. We chose SSP2 as the primary projection because it represents the middle path, reflecting moderate economic growth and demographic trends. Additionally, we incorporate two extreme scenarios, SSP1 and SSP331,32, as complementary projections. SSP1 represents a pathway characterized by high per capita GDP growth and low population growth, reflecting a sustainable and economically prosperous future. In contrast, SSP3 depicts a scenario with low per capita GDP growth and high population growth, associated with greater socio-economic and environmental challenges. Our projections of SFS illustrate that the global average SFS could expand (Fig. 4) under the scenario of a shared socio-economic middle pathway (SSP2) with urbanization and decreasing agricultural labor. The SFS could increase by 37 ha (about 50%, 1.8% yr−1) between 2020 and 2050 from 70 ha (95% CI: 57–86 ha) in 2020 to 107 ha (95% CI: 84–138 ha) in 2050. Between 2020 and 2100, the average SFS globally could increase by 233 ha (about 300%, 4.2% yr−1) from 70 ha in 2020 to 303 ha in 2100 (95% CI: 217–427 ha). Regionally, the ratio of the SFS between 2100 and 2020 is 6.4 for Latin America and the Caribbean, 5.8 for North America, 5.4 for Europe, 4.1 for Oceania and Middle East and North Africa, 2.4 for Asia and sub-Saharan Africa (Fig. 4).
a global average farm size; b–h farm size in major regions including Asia, Europe, Latin America and the Caribbean, Middle East and North Africa, Northern America, Oceania, and Sub-Saharan Africa. The solid brown line shows the projections under the SSP2 scenario, while the blue and pink dashed lines show the extreme scenarios SSP1 (high GDP and low population) and SSP3 (low GDP and high population), respectively. Yellow shading indicates 95% confidence intervals under SSP2.
The more extreme socioeconomic pathways show different results (Fig. 4). For instance, when GDP grows faster and population grows slower (SSP1), the expansion of SFS could be much more rapid (about 620%, 7.8% yr−1), whereas when GDP grows more slowly and population grows faster (SSP3), the expansion of SFS could slow down (about 260%, 3.3% yr−1). The projections for selected countries (Fig. S8) have relatively consistent trends with the continent to which they belong. African countries (Kenya, Mali and Nigeria) could expand their SFSs with around 2060 as a turning point.
The results of our reconstruction of long-term SFS data and future projections illustrate the changes in SFS over time. The model we present here fits the observed data very well and shows a stable error structure over time. Our model can illustrate how SFS could change in the future if current agricultural trends are maintained. The future is full of uncertainty, and many factors, including market economic policies, land management policies, and environmental management policies, may affect SFS in unpredictable ways.
Discussion
Policy implications
Farm size expansion could continue with urbanization, which lead to a shortage of labor on small farms7,33 and help to promote the gradual development of larger-scale agriculture13,34. The relationship between farm consolidation and rural population decline is bidirectional. While decreasing rural populations may drive farm consolidation, the consolidation of farms may also accelerate rural depopulation by reducing employment opportunities and weakening local economies35,36. This dynamic can create a feedback loop, where depopulation leads to further consolidation, which in turn exacerbates the decline of rural areas. While some studies suggest that farm size consolidation may occur as rural populations age (e.g., through land transfers from retiring farmers)37,38, recent research challenges the assumption that aging could automatically drive sustainable farm expansion. For instance, Ren et al.39 argue that aging rural populations in China threaten the viability of smallholder farming systems due to labor shortages, reduced adoption of modern agricultural practices, and insufficient intergenerational succession. This demographic shift risks destabilizing small-scale production rather than fostering consolidation, raising questions about the long-term sustainability of farm expansion trends. Farm size optimization through land consolidation has occurred in high-income regions (including the US, Germany, France), yet there remains potential for further optimization. For instance, the USA’s farm sizes have gone through a process of expansion, restriction and re-expansion, with government involvement through interventions40,41, reaching a midpoint (medium) GFS of 408 hectares in the 20101,2,13. A distinctive hallmark is the high level of mechanization in the production process, coupled with the high productivity brought about by large-scale land management. From 1982 to 2012 in the Heartland area (including Iowa, Illinois, Indiana, Minnesota, South Dakota, Nebraska, Missouri, Kentucky, and Ohio), large farms with more than 400 hectares increased their share of total production from 17% in 1982 to 59% in 201240. In general, total factor productivity (TFP)—the “residual” output growth unexplained by labor and capital inputs42—increases significantly with farm size (p < 0.001; Fig. S12), suggesting economies of scale, improved technology adoption, or enhanced management efficiency in larger agricultural operations11. However, regional disparities exist: in low-income settings with underdeveloped land markets, small farms may still achieve competitive TFP through labor-intensive practices. Policymakers must weigh efficiency gains against the risks of consolidating smallholder livelihoods, particularly in regions where agriculture underpins rural employment.
The experiences of high-income countries in managing the fragmentation of agricultural land can provide invaluable guidance for low-income nations. A recurring strategy in these nations (the US, Germany, France, and the Netherlands) involves the prioritization of legislative measures (see Supplementary Information) aimed at mitigating the challenges posed by fragmented land parcels. German accomplishment in tackling land fragmentation challenges and promoting mechanized farming can be attributed to the implementation of the Land Consolidation Act43,44. The Act has directly facilitated the consolidation of agricultural land, alongside the widespread use of modern machinery and equipment to enable large-scale operations. As a result, each farmer, constituting only 4% of the workforce, supports over 120 individuals. In recent years, analogous efforts have been observed in China, where initiatives such as the facilitation of farmland rental arrangements and the involvement of machinery service providers have driven farm size expansion9,10,45,46,47,48. In the future, low-income countries should expedite the creation of specific legislation, providing a strong legal foundation to tackle fragmentation and ensure effective land management. On the other hand, policies such as land reform, agricultural subsidies, and infrastructure development can provide crucial support for optimizing farms7,49.
Farm consolidation is not without its drawbacks. The consolidation of land can lead to a decline in rural employment opportunities, and a loss of local knowledge and biodiversity associated with traditional farming practices7. In many cases, small farms are the backbone of rural economies, providing jobs, ensuring food sovereignty, and supporting the resilience of food systems during crises. We acknowledge that promoting farm integration may not always be feasible or desirable, particularly in regions constrained by economic, cultural, or institutional factors. In such contexts, rather than pushing towards uniform consolidation, policies could instead focus on ensuring that smallholders have the resources and support needed to maintain viable operations. The focus should not solely be on consolidation, but on how to improve the productivity and sustainability of small farms through targeted investments in technology, infrastructure, and support services. Strategies that empower smallholder farmers—by providing access to markets, credit, and technology—can complement efforts to optimize farm sizes and improve resource use efficiency. Policies that promote consolidation should be designed with safeguards to protect smallholder farmers and ensure that the benefits of consolidation do not come at the expense of rural development and food security.
Limitation
We recognize that our analysis, while capturing broad economic and demographic drivers of farm size dynamics, does not fully account for the critical role of policy interventions in shaping these trends. Agricultural policies—such as subsidies, land reform programs, and trade regulations—have historically exerted profound, often nonlinear influences on farm consolidation or fragmentation. For instance, U.S. Agricultural Adjustment Act and related subsidy structures favoring capital-intensive operations50 and China’s Household Responsibility System (HRS) reforms51 represent pivotal yet unmodeled policy shocks that directly altered farm size trajectories. In the U.S., the subsidies, which include direct payments, crop insurance, and price supports, encourage the adoption of advanced technologies and economies of scale, thereby accelerating farm consolidation50. As a result, the average farm size in the U.S. has steadily increased over time, while the number of small and mid-sized farms has declined. This policy-driven trend has implications for rural economies, labor markets, and environmental sustainability, as larger farms tend to prioritize monoculture and mechanization over diversified and labor-intensive practices. Conversely, China’s HRS reforms, implemented in the late 1970s and early 1980s, led to the fragmentation of agricultural land by redistributing collective farmland to individual households. This policy shift aimed to increase productivity by encouraging farmers to work their own plots, but it also resulted in smaller, more fragmented farm sizes. Despite China’s legal framework of collective land ownership, informal land leasing and transfer mechanisms — alongside government-promoted cooperatives and family farms—have enabled rural households to lease plots to more efficient producers, fostering larger operational units and scale economies through policy, institutional innovation, and local dynamics52,53. These examples illustrate how policy interventions can have profound, often nonlinear impacts on farm size dynamics, shaping the trajectory of agricultural systems in ways that are not captured by macroeconomic or demographic variables alone. Our reliance on macroeconomic variables (GDP, rural population) and agricultural land area as primary drivers, though globally scalable, may overlook region-specific policy legacies that mediate these relationships. Future work integrating granular policy datasets (e.g., subsidy allocation mechanisms, land tenure laws) could refine projections and better disentangle structural trends from policy-driven anomalies.
On the other hand, SFS does not directly account for uneven land quality, fragmentation, tenure arrangements, or variations in land use practices within a region. For example, two farms of the same socio-economic size may operate under vastly different conditions—one may have access to fertile, contiguous land with secure tenure, while the other may face challenges such as fragmented plots, poor soil quality, or insecure land rights. These differences can affect productivity, resource use efficiency, and resilience to environmental and economic shocks. While it provides a useful broad-scale indicator, SFS may oversimplify local complexities and obscure important socioeconomic and environmental nuances of farming systems. Smallholder farms in low-income countries often play a dual role in ensuring food security and preserving biodiversity, yet these contributions are not fully captured by a simple size metric (SFS). Similarly, variations in land use practices—such as the adoption of agroecological methods versus intensive monoculture—can have profound implications for sustainability, even among farms of similar size.
Methods
Socio-economic farm size
In this study, we introduce the SFS, defined as agricultural land area divided by the number of farms. Mechanistically, SFS is mainly affected by agricultural area, rural population, economic levels and policies. Agricultural area (land) is typically positively correlated with farm size54 while rural population directly influences the supply of labor and farm size expansion55. From an economic development perspective, GDP per capita reflects a country’s productivity and technological advancement. As GDP per capita increases, agricultural production methods gradually shift to be more capital-intensive and technology-intensive, promoting the expansion of farm sizes56. Although policy shocks (e.g., subsidies, land reforms; Fig. 5)57,58,59 may further shape SFS, their incorporation into the model for predicting SFS remains limited due to the high uncertainty of future land policy trajectories. We used a statistical model to estimate the link between the SFS and agricultural area, rural population and GDP per capita because these indicators directly drive changes in SFS and are consistently measurable across historical and future scenarios.
Unlike a simple linear regression or a standard GAM, the used Bayesian hierarchical quantile additive regression model accommodates multiple complexities simultaneously: it captures nonlinear effects through additive smoothing terms, incorporates hierarchical structure to account for variations between countries, and focuses on a specific quantile to better characterize distributions of SFSs rather than relying solely on mean responses. Additionally, the Bayesian framework allows for coherent uncertainty quantification, offers greater flexibility in incorporating prior information, and provides robust inference across diverse contexts—capabilities that simpler approaches do not uniformly provide. We consider models with smoothed terms for each predictor and country random effects, which allow for the modeling of error correlations for multiple years of data collected from the same country. The realized model is:
$${\mu }_{\tau }\left(\log \left({S}_{i}\right)\right)={\sum }_{k}{b}_{{ik}}\log ({A}_{i})+{\sum }_{l}{b}_{{il}}\log ({P}_{i})+{\sum }_{m}{b}_{{im}}\log ({G}_{i})+{\delta }_{j(i)}+{\varepsilon }_{0}$$
(1)
where \({\mu }_{\tau }\) is the average of the \({{{\rm{\tau }}}}\) th quantile (\({{{\rm{\tau }}}}=0.5\)) of the natural logarithm of SFS S; \({b}_{{ik}},{b}_{{il}}\) and \({b}_{{im}}\) arethe coefficients of thin-plate spline basis functions for the natural logarithm of agricultural area A, rural population P and GDP per capita G, which determine the weight of the base functions in the model; k, l, and m are their base functions, which are used to denote the constructive blocks of the smoothing function that represent nonlinear relationships; \({\delta }_{j(i)}\) is random coefficient for country j to the observation i; and \({\varepsilon }_{0}\) is the error term. This logarithm transformation addresses skewed data distributions and mitigates the impact of extreme values, thereby enhancing model performance.
We use three datasets in SFS projections including the WPTCA and the datasets2,12, the FAOSTAT data on agricultural area, GDP per capita and rural population size, as well as projected GDP per capita and rural population data from the SSP2, SSP1, and SSP3 databases of the International Institute for Applied Systems Analysis (IIASA)30, covering 182 countries between 2015 and 2100. After integrating the data by country and year and removing some terms with missing values, we fit the model to a sample of historical observations using the SFS obtained by dividing the agricultural area by the number of farms. The model can be used to estimate the SFS for each country by year, along with 95% confidence intervals. The 95% confidence intervals are calculated based on the standard errors inherent in the model simulations, as the simulated values plus or minus twice the standard errors. The analysis was conducted at the country level covering the timespan 1970–2100.
Reporting summary
Further information on research design is available in the Nature Portfolio Reporting Summary linked to this article.
Data availability
All study data are included in the article and/or the supporting information. The data used in this article to complete the analyses is available in https://doi.org/10.6084/m9.figshare.29499263.
Code availability
The code used in this article to complete the analyses is available in https://doi.org/10.6084/m9.figshare.29499263.
References
Lesiv, M. et al. Estimating the global distribution of field size using crowdsourcing. Glob. Chang. Biol. 25, 174–186 (2019).
Lowder, S. K., Skoet, J. & Raney, T. The number, size, and distribution of farms, smallholder farms, and family farms worldwide. World Dev. 87, 16–29 (2016).
Tilman, D., Balzer, C., Hill, J. & Befort, B. Global food demand and the sustainable intensification of agriculture. P. Nat. Aca. Sci. Usa. 108, 20260–20264 (2011).
Alexandratos, N. How to feed the world in 2050. In Proc. Technical Meeting of Experts 1–32 (FAO, 2009).
Galloway, J. N. et al. Transformation of the nitrogen cycle: recent trends, questions, and potential solutions. Science 320, 889–892 (2008).
Vitousek, P. M. et al. Nutrient imbalances in agricultural development. Science 324, 1519–1520 (2009).
Wang, S. et al. Urbanization can benefit agricultural production with large-scale farming in China. Nat. Food 2, 183–191 (2021).
Ricciardi, V., Mehrabi, Z., Wittman, H., James, D. & Ramankutty, N. Higher yields and more biodiversity on smaller farms. Nat. Sustain. 4, 651–657 (2021).
Ren, C. et al. The impact of farm size on agricultural sustainability. J. Clean. Prod. 220, 357–367 (2019).
Ju, X., Gu, B., Wu, Y. & Galloway, J. N. Reducing China’s fertilizer use by increasing farm size. Glob. Environ. Chang. 41, 26–32 (2016).
Rada, N. E. & Fuglie, K. O. New perspectives on farm size and productivity. Food Policy 84, 147–152 (2019).
Lowder, S. K., Sánchez, M. V. & Bertini, R. Which farms feed the world and has farmland become more concentrated?. World Dev. 142, 105455 (2021).
MacDonald, J. M., Korb, P. & Hoppe, R. A. Farm Size and the Oorganization of US Crop Farming (United States Department of Agriculture, 2013).
Wu, Y. et al. Policy distortions, farm size, and the overuse of agricultural chemicals in China. Proc. Natl. Acad. Sci. USA. 1–6. https://doi.org/10.1073/pnas.1806645115 (2018).
Ricciardi, V., Ramankutty, N., Mehrabi, Z., Jarvis, L. & Chookolingo, B. How much of the world’s food do smallholders produce?. Glob. Food Secur. 17, 64–72 (2018).
Hall, B. F. & LeVeen, E. P. Farm size and economic efficiency: the case of California. Am. J. Agric. Econ. 60, 589–600 (1978).
Mburu, S., Ackello-Ogutu, C. & Mulwa, R. Analysis of economic efficiency and farm size: a case study of wheat farmers in Nakuru District, Kenya. Econ. Res. Int. 2014, 1–10 (2014).
Yu, Y., Hu, Y., Gu, B., Reis, S. & Yang, L. Reforming smallholder farms to mitigate agricultural pollution. Environ. Sci. Pollut. Res Int 29, 13869–13880 (2022).
Dimitri, C., Effland, A. & Conklin, N. C. The 20th century transformation of US agriculture and farm policy. United States Department of Agriculture. https://ers.usda.gov/sites/default/files/_laserfiche/publications/44197/13566_eib3_1_.pdf?v=80875 (2005).
Foley, J. A. et al. Global consequences of land use. Science 309, 570–574 (2005).
Gollin, D., Parente, S. & Rogerson, R. The role of agriculture in development. Am. Econ. Rev. 92, 160–164 (2002).
Vergara-Camus, L. & Kay, C. The agrarian political economy of left-wing governments in Latin America: Agribusiness, peasants, and the limits of neo-developmentalism. J. Agrar. Chang. 17, 415–437 (2017).
Deininger, K. & Nagarajan, H. J. W. B. W. D. Land policies and land reforms in India: progress and implications for the future. Economics, Political Science. https://www.scribd.com/document/746395060/10-1-1-536-6557 (2007).
Johnson, N. R., Endres, A. B. J. H. J. P. L. & Pol’y. Small producers, big hurdles: barriers facing producers of local foods. 33, 49 (2011).
Gashu, D., Demment, M. W. & Stoecker, B. J. Agriculture, Nutrition & Development. Challenges and opportunities to the African agriculture and food systems. African Journal of Food, Agriculture 19, 14190–14217 (2019).
Jayne, T. S., Mather, D. & Mghenyi, E. Principal challenges confronting smallholder agriculture in sub-Saharan Africa. World Dev. 38, 1384–1398 (2010).
van Vliet, J., de Groot, H. L. F., Rietveld, P. & Verburg, P. H. Manifestations and underlying drivers of agricultural land use change in Europe. Landsc. Urban Plan. 133, 24–36 (2015).
Giller, K. E. et al. Small farms and development in sub-Saharan Africa: farming for food, for income or for lack of better options?. Food Secur. 13, 1431–1454 (2021).
Datta, P., Behera, B. & Rahut, D. B. Climate change and Indian agriculture: a systematic review of farmers’ perception, adaptation, and transformation. Environ. Chall. 8, 100543 (2022).
Riahi, K. et al. The Shared Socioeconomic Pathways and their energy, land use, and greenhouse gas emissions implications: an overview. Glob. Environ. Chang. 42, 153–168 (2017).
Dellink, R., Chateau, J., Lanzi, E. & Magné, B. Long-term economic growth projections in the Shared Socioeconomic Pathways. Glob. Environ. Chang. 42, 200–214 (2017).
Kc, S. & Lutz, W. The human core of the shared socioeconomic pathways: Population scenarios by age, sex and level of education for all countries to 2100. Glob. Environ. Chang. 42, 181–192 (2017).
Gu, B., Sutton, M. A., Chang, S. X., Ge, Y. & Chang, J. Agricultural ammonia emissions contribute to China’s urban air pollution. Front. Ecol. Environ. 12, 265–266 (2014).
Otsuka, K. Food insecurity, income inequality, and the changing comparative advantage in world agriculture. Agric. Econ. 44, 7–18 (2013).
Liu, L. Urbanization is reshaping food production in China. Nature 621, 42 (2023).
Brondizio, E. S. et al. Millions of jobs in food production are disappearing—a change in mindset would help to keep them. Nature 620, 33–36 (2023).
Grubbström, A. & Eriksson, C. Retired farmers and new land users: how relations to land and people influence farmers’ land transfer decisions. Sociol. Rural. 58, 707–725 (2018).
Duesberg, S., Bogue, P. & Renwick, A. Retirement farming or sustainable growth–land transfer choices for farmers without a successor. Land Use Policy 61, 526–535 (2017).
Ren, C. et al. Ageing threatens sustainability of smallholder farming in China. Nature 616, 96–103 (2023).
Key, N. Farm size and productivity growth in the United States Corn Belt. Food Policy 84, 186–195 (2019).
Parr, J., Papendick, R. I., Youngberg, I. G. & Meyer, R. in Sustainable Agricultural Systems 50–67 (CRC Press, 2020).
Lagos, R. A model of TFP. Rev. Econ. Stud. 73, 983–1007 (2006).
Happe, K., Balmann, A., Kellermann, K. & Sahrbacher, C. Does structure matter? The impact of switching the agricultural policy regime on farm structures. J. Econ. Behav. Organ. 67, 431–444 (2008).
Vitikainen, A. An overview of land consolidation in Europe. Nord. J. Surv. Real. Estate Res. 1, 25–44 (2004).
Huang, J. & Ding, J. Institutional innovation and policy support to facilitate small-scale farming transformation in China. Int. Assoc. Agric. Econ. 47, 227–237 (2016).
Pu, L., Zhang, S., Yang, J., Yan, F. & Chang, L. Assessment of high-standard farmland construction effectiveness in liaoning province during 2011–2015. Chin. Geogr. Sci. 29, 667–678 (2019).
Andreas, J. & Zhan, S. J. Hukou and land: market reform and rural displacement in China. J. Peasant Stud. 43, 798–827 (2016).
Li, B. & Shen, Y. Effects of land transfer quality on the application of organic fertilizer by large-scale farmers in China. Land Use Policy 100, 105124 (2021).
Duan, J. et al. Consolidation of agricultural land can contribute to agricultural sustainability in China. Nat. Food 2, 1014–1022 (2021).
MacDonald, J. M., Korb, P. & Hoppe, R. A. Farm size and the organization of US crop farming. (2013).
Krusekopf, C. C. Diversity in land-tenure arrangements under the household responsibility system in China. China Econ. Rev. 13, 297–312 (2002).
Jiang, Y., Tang, Y.-T., Long, H. & Deng, W. Land consolidation: a comparative research between Europe and China. Land Use Policy 112, https://doi.org/10.1016/j.landusepol.2021.105790 (2022).
Zhang, X., Yang, Q., Al Mamun, A., Masukujjaman, M. & Masud, M. M. Acceptance of new agricultural technology among small rural farmers. Humanit, Soc. Sci. Commun. 11, 1641 (2024).
Masters, W. A. et al. Urbanization and farm size in Asia and Africa: implications for food security and agricultural research. Glob. Food Secur. 2, 156–165 (2013).
Jayne, T. S., Chamberlin, J. & Headey, D. D. Land pressures, the evolution of farming systems, and development strategies in Africa: a synthesis. Food Policy 48, 1–17 (2014).
Balogh, T. & Schultz, T. Transforming traditional agriculture. Econ. J. 74, 996–999 (1964).
Kazukauskas, A., Newman, C., Clancy, D. & Sauer, J. Disinvestment, farm size, and gradual farm exit: the impact of subsidy decoupling in a european context. Am. J. Agric. Econ. 95, 1068–1087 (2013).
Khusro, A. M. Economics of Land Reform and Farm Size in India 162 (Macmillan India, 1973).
Bernstein, H. Land reform: taking a long (er) view. J. Agrar. Chang. 2, 433–463 (2002).
Acknowledgements
This study was supported by the National Natural Science Foundation of China (Grants 42125103 to Q.Z., T2522038 to L.L., 42371324 to L.L., 42001347 to L.L.) and Gansu Province Outstanding Youth Fund Project (25JRRA629 to L.L.). The analysis in this study is supported by the Supercomputing Center of Lanzhou University.
Ethics declarations
Competing interests
The authors declare no competing interests.
Peer review
Peer review information
Nature Communications thanks the anonymous reviewers for their contribution to the peer review of this work. A peer review file is available.
Additional information
Publisher’s note Springer Nature remains neutral with regard to jurisdictional claims in published maps and institutional affiliations.
Supplementary information
Rights and permissions
Open Access This article is licensed under a Creative Commons Attribution-NonCommercial-NoDerivatives 4.0 International License, which permits any non-commercial use, sharing, distribution and reproduction in any medium or format, as long as you give appropriate credit to the original author(s) and the source, provide a link to the Creative Commons licence, and indicate if you modified the licensed material. You do not have permission under this licence to share adapted material derived from this article or parts of it. The images or other third party material in this article are included in the article’s Creative Commons licence, unless indicated otherwise in a credit line to the material. If material is not included in the article’s Creative Commons licence and your intended use is not permitted by statutory regulation or exceeds the permitted use, you will need to obtain permission directly from the copyright holder. To view a copy of this licence, visit http://creativecommons.org/licenses/by-nc-nd/4.0/.
About this article
Cite this article
Wang, J., Li, Y., Liu, S. et al. Global average socio-economic farm size may triple by 2100. Nat Commun 16, 9225 (2025). https://doi.org/10.1038/s41467-025-64319-9
Received: 07 March 2025
Accepted: 11 September 2025
Published: 17 October 2025
DOI: https://doi.org/10.1038/s41467-025-64319-9
.png)





