In my book SUPER AGERS, I highlighted the importance of proteomic clocks for determining the pace of organ aging within a person, a topic for which I’ve also dedicated 2 recent posts on Ground Truths (here and here). I’m going to get into the UK Biobank data below that shows that estrogen replacement therapy was associated with slower aging of the immune system, brain, liver and arteries. But before that, let’s trace the history of how the medical community and public got the estrogen replacement therapy for postmenopausal women all wrong. How inadvertently millions of women have been hurt by not deriving the benefit of hormone replacement therapy, particularly estrogen alone. That starts with the Women’s Health Initiative.
Almost exactly 23 years ago, the Women’s Health Initiative (WHI) large, randomized clinical trial of estrogen + progestin vs placebo was abruptly stopped early and the results were trumpeted by the press flagging the “significant increase in the risk invasive breast cancer.” (Front page NYT below)
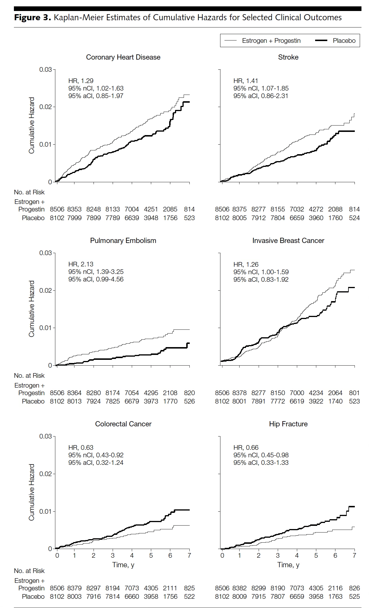
Soon thereafter, in JAMA, the broader results of the WHI were published and summarized in the graphs below. There was evidence for an increased risk of coronary heart disease, stroke, pulmonary embolism, and invasive breast cancer, and reduced risk of colon cancer and hip fracture. While the increased risk was statistically significant, the absolute risk was small: “the absolute excess risk of events included in the global index was 19 per 10,000 person-years.” For invasive breast cancer, the relative 26% increase translated to an absolute increased risk of 8 cases per 10,000 women per year.
The WHI impact was dramatic and precipitous with more than 60% reduction of hormone replacement therapy (HRT) prescriptions and now, more than two decades later, the adverse results are still inculcated in many practicing physicians.
The average age of the ~16,000 participants was 63 years, with most more than 10 years postmenopausal (the average age of menopause is ~51 years). Accordingly, these participants were not representative of the women prescribed hormone replacement therapy. That is the major flaw of the study.
The adverse risks were seen with the combination of estrogen and progestin, similar to the trends seen in the preceding, much smaller randomized Heart and Estrogen/progestin Replacement Study HERS trial that enrolled women with a mean age of 67 years. Also, the large UK observational Million Women Study found higher rates of breast cancer.
There was an arm of WHI, a separate randomized trial of estrogen alone (conjugated equine) vs placebo, in over 10,700 postmenopausal women (post-hysterectomy) with very different results shown below, with less invasive breast cancer and no significant increased risk of heart disease or pulmonary embolism. The increased stroke risk was predominantly seen in women age 60-69 years, again highlighting the timing of therapy vs onset of menopause.
Subsequent analyses of the combination estrogen + progestin WHI trial showed when HRT was initiated before age 60 or within 10 years of menopause there was a reduced risk of heart disease and reduced all-cause mortality. This became known as the “healthy endothelium hypothesis.” The route of estrogen therapy also appears to contribute to this drug’s benefit with transdermal administration, bypassing liver metabolism, associated with less pulmonary embolism, deep vein thrombosis and stroke. Currently all of the major organizations, including American College of Obstetricians and Gynecologists, North American Menopause Society (NAMS) support HRT for women under age 60 or within 10 years of onset of menopause. Those 60/10 year cutoffs indicate the perception that timing is critical for avoiding risk and deriving benefit.
Observational data support the potential benefit of early initiation of HRT for preserving cognitive health, reducing the risk of Alzheimer’s disease (a systematic review Figure shown below, the benefit not seen for estrogen + progestin), and less risk for Type 2 diabetes. In aggregate, these diverse salutary effects support an anti-aging impact of estrogen.
In Dr. Lisa Mosconi’s book The Menopause Brain data for estrogen’s protection of cognitive health, brain function, and reduction of brain fog are summarized. Similarly, in the 2024 revised edition of Estrogen Matters, by Drs. Avrum Bluming and Carol Tarvis, the protective effects of estrogen for heart disease and cognitive decline are spotlighted (the subtitle sums it up well). A third book, The New Menopause, by Dr. Mary Claire Haver, reinforces these benefits.
In Aging Cell, prescription drugs linked to reduce mortality were assessed in the UK Biobank cohort of over 500,000 participants. As seen in the graph below, among the 9 drugs found to be associated with reduced all-cause mortality, 4 of them were estrogen preparations.
In Lancet Oncology this week, the relationship of hormone therapy to breast cancer was assessed in 13 prospective studies of young women. A total of nearly 460,000 women with a mean age of 42 years were included. Estrogen alone was linked to reduced young-onset breast cancer, while the combination was associated with increased risk of breast cancer. These results are quite consistent with those cited above for the WHI studies.
In Science Advances, the PET scan accumulation of misfolded proteins (Aβ or Tau) in the brain with estrogen replacement (HT) was only significant in older women at baśeline, but reduced in younger women taking HT.
The preprint of the study I’m reviewing here will be published in Nature Medicine on July 9th without material change. The pioneering organ clock work of Tony-Wyss Coray and his collaborators (see our podcast along with 2 prior Ground Truths noted at the top of this post) culminated in this report of ~3,000 plasma proteins in ~45,000 UK Biobank participants who were followed for about 17 years. The high-throughput protein assay provides biological age data for 11 organs, along with a body-wide age clock (organismal, not organ specific) and conventional (trained on all plasma proteins assessed). The organ age is compared with the individual’s chronological age. Higher organ age was associated with related adverse health outcomes such as heart age for atrial fibrillation and congestive heart failure, and brain age for Alzheimer’s disease. Lifestyle factors also followed suit, such as
smoking with increased lung, brain, and organismal aging. The most important organ clocks related to improved survival were the brain and immune system clocks, as seen in the Figure below (same as Figure 12.5 in SUPER AGERS) The top blue line represents people with slow aging of the brain or immune clock.
With that background of the study, here are the results for estrogen replacement and menopause independent of each other. Estrogen intake was linked to slower aging of the immune system (highest negative magnitude blue bar at left, below) and also the liver and artery clocks. Less prominent in magnitude is the effect on the brain, kidney and lung clocks but all of these were favorable. Note how each organ clock goes in the opposite direction with menopause. In each group partitioned by timing of menopause (N=47), estrogen was linked to a younger immune system age (diagram at right below).
“Ovaries are the only organ in humans that we just accept will fail one day”—Renee Wegryzn, former director or ARPA-H
The protective effect of estrogen largely accounts for why women tend to develop heart disease about 10 years later than men. It’s not just heart disease, there’s immune system dysfunction and decreased bone health that are prominent effects of menopause. One of the most intriguing ways to prolong healthspan in the future is to prevent ovarian failure. When an old mouse gets an ovary transplant from a young mouse, lifespan of the recipient is extended. While we are not able to prolong ovarian life in people yet (perhaps someday), for now estrogen replacement can be considered an attractive alternative.
The WHI stigmatized the use of hormone replacement therapy in postmenopausal women. Cumulatively, in the past two decades since the release of the trial, tens of millions of women soon after menopause missed the potential benefits of estrogen replacement. In my medical practice, I frequently encounter postmenopausal women who have tried to get a prescription for HRT but experienced considerable difficulty or have been unable to do so. This reflects the persistent bias against HRT in the medical community despite the major flaw in WHI and body of evidence that has since accumulated.
Randomized trials are considered the gold standard to assess the impact of a medical intervention. But they are only as good as the hypothesis that is framed. Unwittingly, in the case of WHI, there was indiscriminate enrollment of women, irrespective of time past menopause. Had the hypothesis been that estrogen replacement would provide benefit with the more restricted and current 60/10 recommendations, the intervention would have shined through.
The new organ clock data add to prior reports of estrogen’s effect on preserving bone health, reducing heart disease, preserving cognitive function, reducing the risk of Alzheimer’s disease, and a lower risk of Type 2 diabetes. The Nature Medicine paper provides a new dimension for the benefits of estrogen since it is the first to show the immune system clock is markedly improved. As I reviewed in SUPER AGERS, the immune system appears to be the key to why some people have such extraordinary healthspan. That advantage doesn’t show up in a whole genome sequence but instead requires comprehensive interrogation of our very complex immune system—including assessing the function of various cell types with perturbations and systematic assay of antibodies. The proteomic immune system clock is a promising way to get a handle on this, but more direct means for defining our immunome, which is not available clinically, are in the works (see the First Diagnostic Immunome and Why We Need an Immunome). Moreover, the findings in the new study will need to be replicated by others.
It is surprising that here in 2025 we still have population-level recommendations (i.e. same for all people) without regard to our ability to define the risk at the individual level. If we are concerned about a person’s risk of breast cancer or stroke, a simple inexpensive polygenic risk score could be obtained. Just like the unwillingness to turn the page on the massive WHI miscue, there is the same problem with the medical community reluctance to embrace the use of polygenic risk scores, no less whole genome sequencing. Perhaps someday that resistance will be alleviated.
In closing, the case for estrogen replacement in women after menopause has strengthened. The old adage “timing is everything” certainly applies here, as the last people for whom the benefit would be seen are those who are a decade past onset of menopause. While we haven’t come up with a way to prevent ovarian failure, the totality of evidence supports the use of estrogen to harvest its multiplicity of important health benefits.
**************************************************
A quick poll for women subscribers
For a deeper look into the topic, I wrote about the organ clocks in SUPER AGERS. The book is available at Amazon for $10.10 right now! That’s ~70% off and I have no idea how long that will last or what prompted it.
Thanks to many of you Ground Truth subscribers who helped put it on the NYT bestseller list 3 weeks in a row. And for the positive feedback on the audio version that I narrated. It took a week to do the recording, but it seems well worth it from your comments.
I’m also appreciative for your reading and subscribing to Ground Truths.
If you found this interesting PLEASE share it!
That makes the work involved in putting these together especially worthwhile.
All content on Ground Truths—its newsletters, analyses, and podcasts, are free, open-access.
Paid subscriptions are voluntary and all proceeds from them go to support Scripps Research. They do allow for posting comments and questions, which I do my best to respond to. Please don't hesitate to post comments and give me feedback. Let me know topics that you would like to see covered.
Many thanks to those who have contributed—they have greatly helped fund our summer internship programs for the past two years.
.png)













![Shell companies and government corruption [pdf]](https://news.najib.digital/site/assets/img/broken.gif)